电脑桌面
添加小米粒文库到电脑桌面
安装后可以在桌面快捷访问

2021届高考高三模拟考试数学试题

2021届高考高三模拟考试数学试题_第1页
1/10
2021届高考高三模拟考试数学试题_第2页
2/10
2021届高考高三模拟考试数学试题_第3页
3/10
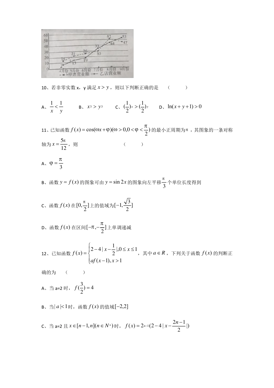
高考高三模拟考试一、单选题1、已知集合 A {x | 2  x  4} , B {x | 5  x  3} ,则 A B =()A、{x | 5  x  4}B、{x | 5  x  2}C、{x | 2  x  3}D、{x | 3  x  4}2、“a 1”是“(a 1)(a  2)  0 ”的()A、充分不必要条件B、必要不充分条件C、充要条件D、既不充分也不必要条件ˆ  0.7x  aˆ ,则3、已知变量 x,y 之间的一组数据如下表:若 y 关于 x 的线性回归方程为 yˆ =()axy32.5435464.5A、0.1B、0.2C、0.35D、0.454、已知 a,b 为不同直线,, 为不同平面,则下列结论正确的是()A、若a   ,b  a ,则b //B、若a,b   ,a // ,b //  ,则 // C、若a //,b  ,a //b ,则  D、若    b,a  ,a  b ,则  5、高一某班有 5 名同学报名参加学校组织的三个不同社区服务小组,每个小组至多可接收该班 2 名同学,每名同学只能报一个小组,则报名方案有()A、15 种B、90 种C、120 种D、180 种6、已知 ( ,), tan  3,则sin( ) 等于()24A、52 533B、C、D、55557、随着科学技术的发展,放射性同位素技术已经广泛应用于医学、航天等众多领域,并取得了显著经济效益。假设某放射性同位素的衰变过程中,其含量 N(单位:贝克)与时间 t(单位:天)满足函数关系P(t)  P02 t30 ,其中 P0 为 t=0 时该放射性同位素的含量。已知t=15 时,该放射性同位素的瞬时变化率为衰变所需时间为()3 2 ln 2,则该放射性同位素含量为 4.5 贝克时10A、20 天B、30 天C、45 天D、60 天8、定义运算:①对m R,m 0  0 m  m;②对x11x若 f (x)  e e,则有()m,n, p R,(m  n)  p  p (mn)  m  p  n  p 。A、函数 y  f (x) 的图象关于 x=1 对称B、函数 f (x) 在 R 上单调递增2332C、函数 f (x) 的最小值为 2D、 f (2 )  f (2 )二、多选9、中国的华为公司是全球领先的 ICT(信息与通信)基础设施和智能终端提供商,其致力于把数字世界带给每个人、每个家庭、每个组织,构建万物互联的智能世界。其中华为的 5G智能手机是全世界很多年轻人非常喜欢的品牌。为了研究某城市甲、乙两...

1、当您付费下载文档后,您只拥有了使用权限,并不意味着购买了版权,文档只能用于自身使用,不得用于其他商业用途(如 [转卖]进行直接盈利或[编辑后售卖]进行间接盈利)。
2、本站所有内容均由合作方或网友上传,本站不对文档的完整性、权威性及其观点立场正确性做任何保证或承诺!文档内容仅供研究参考,付费前请自行鉴别。
3、如文档内容存在违规,或者侵犯商业秘密、侵犯著作权等,请点击“违规举报”。

碎片内容

2021届高考高三模拟考试数学试题

文库响当当+ 关注
实名认证
内容提供者

该用户很懒,什么也没介绍

确认删除?
VIP
微信客服
  • 扫码咨询
会员Q群
  • 会员专属群点击这里加入QQ群
客服邮箱
回到顶部