电脑桌面
添加小米粒文库到电脑桌面
安装后可以在桌面快捷访问

第二章投入产出法原理一

第二章投入产出法原理一_第1页
1/16
第二章投入产出法原理一_第2页
2/16
第二章投入产出法原理一_第3页
3/16
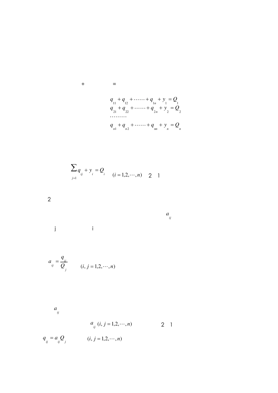
第二章 投入产出法原理(一) 第一节 静态投入产出模型 1 、静态投入产出模型的一般介绍 所谓静态投入产出模型——不包括时间因素的投入产出模型。(模型中时间因素的意义和复杂性) 简单地说,投入产出表(模型)可分为以下几类: 实物形态的投入产出表 产品投入产出表 价值形态的投入产出表 劳动投入产出表 根据内容的不同划分 固定资产投入产出表 … 特殊生产要素投入产出表 全国投入产出表 地区投入产出表 根据范围的不同划分 部门投入产出表 企业投入产出表 ……… 报告期投入产出表 根据用途的不同划分 计划期投入产出表 其中,静态产品投入产出表(模型)是投入产出分析的基本形式,而其它类型的投入产出表(模型),则可以看成是静态模型的扩展。因此,要了解投入产出原理,必须首先了解静态产品投入产出模型。 2、实物形态投入产出模型 实物形态投入产出模型的表式 在实物投入产出表中,是以产品来进行分类的,其计量单位则是以实物单位来计量的。简化的实物形态投入产出表如下所示: 简化实物形态投入产出模型 1 2 3 … n 最 终 产 品 总 计 中 间 产 品 物 1 2 质 3 消  耗 n 11q 12q … nq1 21q 22q … nq2 … … … … 1nq 2nq … nnq 1y nyy2 nQQQ21 劳 动 01q 02q … nq0 —— —— 上表的简要解释: 从行向看,反映的是各类产品的分配使用情况,其中一部分作为中间产品供其它产品生产中使用(消耗),另一部分则作为最终产品供投资和消费使用,两部分相加就是一定时期内各类产品的生产总量。从列向看,反映了各类产品生产中要消耗其它产品(包括自身)的数量。但应指出的是,由于列向各类产品的计量单位不一致,故不能进行运算,因此,实物投入产出模型只有行模型没有列模型。 实物投入产出表的平衡关系式为: 中间产品 + 最终产品 = 总产品 用符合表示则为: 或写成 njiiijQyq1 ),,2,1(ni(2〃1) (2)引入直接消耗系数 直接消耗系数又称为投入系数或技术系数,一般用 ija 表示,其定义是:每生产单位 j 产品需要消耗i 产品的数量。 直接消耗系数的计算公式是: jijijQqa  ),,2,1,(nji 直接消耗系数含义清楚、计算简单,但其在投入产出法只重要性是十分重要的,因此,直接消耗系数的准确与否,是投入产出法成功的基本前提。如何才能保证ija 的准确性?这正是投入产出法始终要关注的基本...

1、当您付费下载文档后,您只拥有了使用权限,并不意味着购买了版权,文档只能用于自身使用,不得用于其他商业用途(如 [转卖]进行直接盈利或[编辑后售卖]进行间接盈利)。
2、本站所有内容均由合作方或网友上传,本站不对文档的完整性、权威性及其观点立场正确性做任何保证或承诺!文档内容仅供研究参考,付费前请自行鉴别。
3、如文档内容存在违规,或者侵犯商业秘密、侵犯著作权等,请点击“违规举报”。

碎片内容

第二章投入产出法原理一

小辰+ 关注
实名认证
内容提供者

出售各种文档和资料

确认删除?
VIP
微信客服
  • 扫码咨询
会员Q群
  • 会员专属群点击这里加入QQ群
客服邮箱
回到顶部