电脑桌面
添加小米粒文库到电脑桌面
安装后可以在桌面快捷访问

65冷却液乙二醇水溶液物理特性曲线(比热、密度、粘度等)

65冷却液乙二醇水溶液物理特性曲线(比热、密度、粘度等)_第1页
1/14
65冷却液乙二醇水溶液物理特性曲线(比热、密度、粘度等)_第2页
2/14
65冷却液乙二醇水溶液物理特性曲线(比热、密度、粘度等)_第3页
3/14
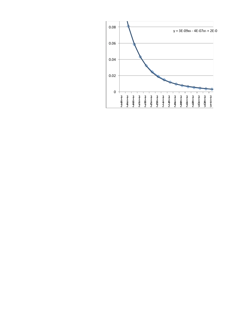
温度K10%20%30%40%-35238.13-30243.13-25248.13-20253.1315.75-15258.1311.74-10263.136.19 9.06-5268.133.65 5.03 7.180273.132.08 3.02 4.15 5.835278.131.79 2.54 3.48 4.8210283.131.56 2.18 2.95 4.0415288.131.37 1.89 2.53 3.4420293.131.21 1.65 2.22.9625298.131.08 1.46 1.92 2.5730303.130.97 1.31.69 2.2635308.130.88 1.17 1.51.9940313.130.81.06 1.34 1.7745318.130.73 0.96 1.21 1.5950323.130.67 0.88 1.09 1.4355328.130.62 0.81 0.99 1.2960333.130.57 0.74 0.91.1765338.130.53 0.69 0.83 1.0670343.130.50.64 0.76 0.9775348.130.47 0.59 0.70.8980353.130.44 0.55 0.65 0.8285358.130.41 0.52 0.60.7690363.130.39 0.49 0.56 0.795368.130.37 0.46 0.52 0.65100373.130.35 0.43 0.49 0.6105378.130.33 0.40.46 0.56110383.130.32 0.38 0.43 0.53115388.130.30.36 0.41 0.49120393.130.29 0.34 0.38 0.46125398.130.28 0.33 0.36 0.43温度℃乙乙二醇水溶液的0.1 0.12 65%乙二醇y = 3E-09x6 - 4E-07x5 + 2E-00 0.02 0.04 0.06 0.08 238.13 243.13 248.13 253.13 258.13 263.13 268.13 273.13 278.13 283.13 288.13 293.13 298.13 303.13 308.13 313.13 50%55%60%65%65(kg·m·s)(Pa.s)70%66.9380.18593.44113.4850.113485133.5343.9854.615 65.2580.910.0809196.5730.538.62546.7558.5650.05856570.3822.0728.17534.2843.110.0431151.9416.5321.1125.6932.2850.03228538.8812.7416.18 19.62 24.5750.02457529.5310.05 12.6515.2519.0050.01900522.768.0910.0712.05 14.920.0149217.796.638.145 9.6611.8750.01187514.095.56.6757.859.580.0095811.314.635.5456.467.820.007829.183.944.665.386.4550.0064557.533.393.9554.525.380.005386.242.943.393.844.5350.0045355.232.562.925 3.293.8550.0038554.422.262.552.843.30.00333.7622.235 2.472.850.002853.231.781.972.162.480.002482.81.591.751.912.170.002172.431.431.561.691.910.001912.131.291.41.511.6950.0016951.881.171.261.351.510.001511.671.071.145 1.221.3550.0013551.490.981.041.11.215 0.0012151.330.890.945 11.10.00111.20.820.870.921.005 0.0010051.090.760.80.840.915 0.0009150.990.70.735 0.770.835 0.0008350.90.650.680....

1、当您付费下载文档后,您只拥有了使用权限,并不意味着购买了版权,文档只能用于自身使用,不得用于其他商业用途(如 [转卖]进行直接盈利或[编辑后售卖]进行间接盈利)。
2、本站所有内容均由合作方或网友上传,本站不对文档的完整性、权威性及其观点立场正确性做任何保证或承诺!文档内容仅供研究参考,付费前请自行鉴别。
3、如文档内容存在违规,或者侵犯商业秘密、侵犯著作权等,请点击“违规举报”。

碎片内容

65冷却液乙二醇水溶液物理特性曲线(比热、密度、粘度等)

您可能关注的文档

小辰8+ 关注
实名认证
内容提供者

出售各种资料和文档

相关文档

确认删除?
VIP
微信客服
  • 扫码咨询
会员Q群
  • 会员专属群点击这里加入QQ群
客服邮箱
回到顶部