电脑桌面
添加小米粒文库到电脑桌面
安装后可以在桌面快捷访问

C语言程序设计(何钦铭)课后习题作业

C语言程序设计(何钦铭)课后习题作业_第1页
1/27
C语言程序设计(何钦铭)课后习题作业_第2页
2/27
C语言程序设计(何钦铭)课后习题作业_第3页
3/27
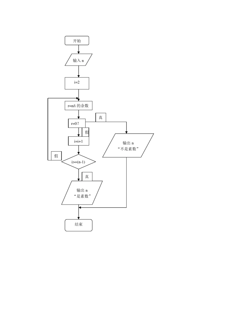
第一章习题 1、对C 语言来说,下列标示符中哪些是合法的,哪些是不合法的? Total, _debu g, Large&Tall, Cou nter1, begin_ 答:合法的:_debu g、Cou nter1、begin_。 不合法的:Total、Large&Tall。 2、改写1.4 节中的流程图1.2,求1—100 中能被 6 整除的所有整数的和。 3、改写1.4 节中的程序,求1—100 中能被 6 整除的所有整数的和,并在编程环境中验证该程序的运行结果。 答:程序为: #inclu de int main(v oid) Su m=0,i=1 I<=100 I 能被 6整除? su m=su m+i i=i+1 真 假 打印 su m { int i,sum=0; for(i=1;i<=100;i++) if(i%6==0)sum=sum+i; printf("sum=%d\n",sum); return 0; } 4、对于给定的整数n(n>1),请设计一个流程图判别n 是否为一个素数(只能被1 和自己整除的整数),并分析该流程图中哪些是顺序结构、哪些是分支结构和循环结构。 开始 结束 输入n i=2 r=n/i 的余数 r=0? i=i+1 i>=(n-1) 输出n “是素数” 输出n “不是素数” 假 真 真 假 开始 结束 输入n i=2 r=n/i 的余数 r=0? i=i+1 i>=(n-1) 输出n “是素数” 输出n “不是素数” 假 真 真 假 第二章作业 1.编写程序,输入两个整数num 和num2,计算并输出她们的和、差、积、商。 答:程序: #include void main() { int num1,num2,y1,y2,y3,y5; double y4; printf("请输入两个数:num1,num2\n"); scanf("%d%d",&num1,&num2); y1=num1+num2; y2=num1-num2; y3=num1*num2; y4=num1*1.0/num2; y5=num1%num2; printf("num1,num2 和y1=%d\nnum1,num2 差y2=%d\nnum1,num2 积y3=%d\nnum1,num2商y4=%lf\nnum1,num2 余y5=%d\n",y1,y2,y3,y4,y5); } 2.为了倡导居民节约用电,某省电力公司执行“阶梯电价”,安装一户一表的居民用户电价分为两个“阶梯”:月用电量 50 千瓦时以内的,电价为0.53 元/千瓦时;超出50 千瓦时的用电量,电价上调 0.05 元/千瓦时。编写程序,输入用户的月用电量(千瓦时),计算并输出该用户应支付的电费(元)。 答:程序: #include void main() { double x,y; printf("请输入月用电量:x\n"); scanf("%lf",&x); if(x<=50){ y=0.53*x; printf("电费 y=%lf\n",y); } else { y=0.58*x; printf("应支付电费 y=%lf\n",y); } } 3.编写程序,输入实数x和正整数n,...

1、当您付费下载文档后,您只拥有了使用权限,并不意味着购买了版权,文档只能用于自身使用,不得用于其他商业用途(如 [转卖]进行直接盈利或[编辑后售卖]进行间接盈利)。
2、本站所有内容均由合作方或网友上传,本站不对文档的完整性、权威性及其观点立场正确性做任何保证或承诺!文档内容仅供研究参考,付费前请自行鉴别。
3、如文档内容存在违规,或者侵犯商业秘密、侵犯著作权等,请点击“违规举报”。

碎片内容

C语言程序设计(何钦铭)课后习题作业

小辰8+ 关注
实名认证
内容提供者

出售各种资料和文档

确认删除?
VIP
微信客服
  • 扫码咨询
会员Q群
  • 会员专属群点击这里加入QQ群
客服邮箱
回到顶部