电脑桌面
添加小米粒文库到电脑桌面
安装后可以在桌面快捷访问

《概率论与数理统计》习题第二章随机变量及其分布

《概率论与数理统计》习题第二章随机变量及其分布_第1页
1/14
《概率论与数理统计》习题第二章随机变量及其分布_第2页
2/14
《概率论与数理统计》习题第二章随机变量及其分布_第3页
3/14
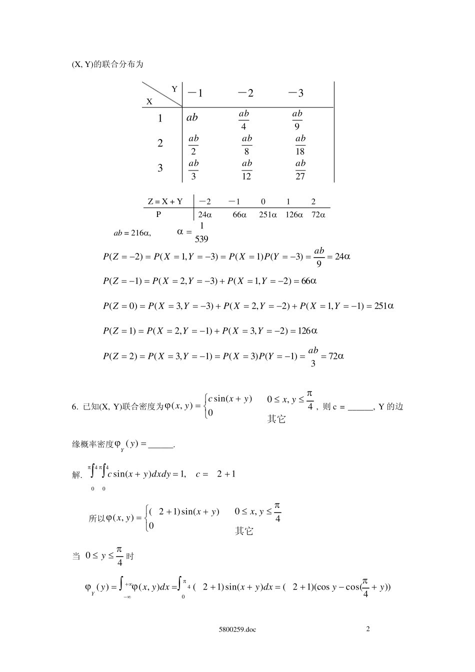
5800259.doc 1 第二章 随机变量及其分布 一. 填空题 1. 设随机变量X~B(2, p), Y~B(3, p), 若 P(X  1) = 95, 则 P(Y  1) = _________. 解. 94951)1(1)0(XPXP 94)1(2  p, 31p 2719321)0(1)1(3YPYP 2. 已知随机变量X 只能取-1, 0, 1, 2 四个数值, 其相应的概率依次为cccc162,85,43,21, 则c = ______. 解. 2,16321628543211cccccc 3. 用随机变量X 的分布函数 F(x)表示下述概率: P(X  a) = ________. P(X = a) = ________. P(X > a) = ________. P(x1 < X  x2) = ________. 解. P(X  a) = F(a) P(X = a) = P(X  a)-P(X < a) = F(a)-F(a-0) P(X > a) = 1-F(a) P(x1 < X  x2) = F(x2)-F(x1) 4. 设 k 在(0, 5)上服从均匀分布, 则02442kkxx有实根的概率为_____. 解. k 的分布密度为051)(kf 其它50 k P{02442kkxx有实根} = P{03216162kk} = P{k -1 或 k  2} =535152dk 5. 已知2}{,}{kbkYPkakXP(k = 1, 2, 3), X 与 Y 独立, 则 a = ____, b = ____, 联合概率分布_____, Z = X + Y 的概率分布为_____. 解. 116,132aaaa. 4936,194bbbb 5800259.doc 2 (X, Y)的联合分布为 Y X -1 -2 -3 1 2 3 ab 4ab 9ab 2ab 8ab 18ab 3ab 12ab 27ab Z = X + Y -2 -1 0 1 2 P 24 66 251 126 72 ab = 216, 5391 249)3()1()3,1()2(abYPXPYXPZP 66)2,1()3,2()1(YXPYXPZP 251)1,1()2,2()3,3()0(YXPYXPYXPZP 126)2,3()1,2()1(YXPYXPZP 723)1()3()1,3()2(abYPXPYXPZP 6. 已知(X, Y)联合密度为 0)sin(),(yxcyx 其它4,0yx, 则 c = ______, Y 的边缘概率密度)(yY______. 解. 12,1)sin(4/04/0 cdxdyyxc 所以0)sin()12(),(yxyx 其它4,0yx 当 40 y时 ))4cos()(cos12()sin()12(),()(40yydxyxdxyxyY 5800259.doc 3 所以 ...

1、当您付费下载文档后,您只拥有了使用权限,并不意味着购买了版权,文档只能用于自身使用,不得用于其他商业用途(如 [转卖]进行直接盈利或[编辑后售卖]进行间接盈利)。
2、本站所有内容均由合作方或网友上传,本站不对文档的完整性、权威性及其观点立场正确性做任何保证或承诺!文档内容仅供研究参考,付费前请自行鉴别。
3、如文档内容存在违规,或者侵犯商业秘密、侵犯著作权等,请点击“违规举报”。

碎片内容

《概率论与数理统计》习题第二章随机变量及其分布

小辰7+ 关注
实名认证
内容提供者

出售各种资料和文档

确认删除?
VIP
微信客服
  • 扫码咨询
会员Q群
  • 会员专属群点击这里加入QQ群
客服邮箱
回到顶部