电脑桌面
添加小米粒文库到电脑桌面
安装后可以在桌面快捷访问

一元二次方程归纳总结

一元二次方程归纳总结_第1页
1/10
一元二次方程归纳总结_第2页
2/10
一元二次方程归纳总结_第3页
3/10
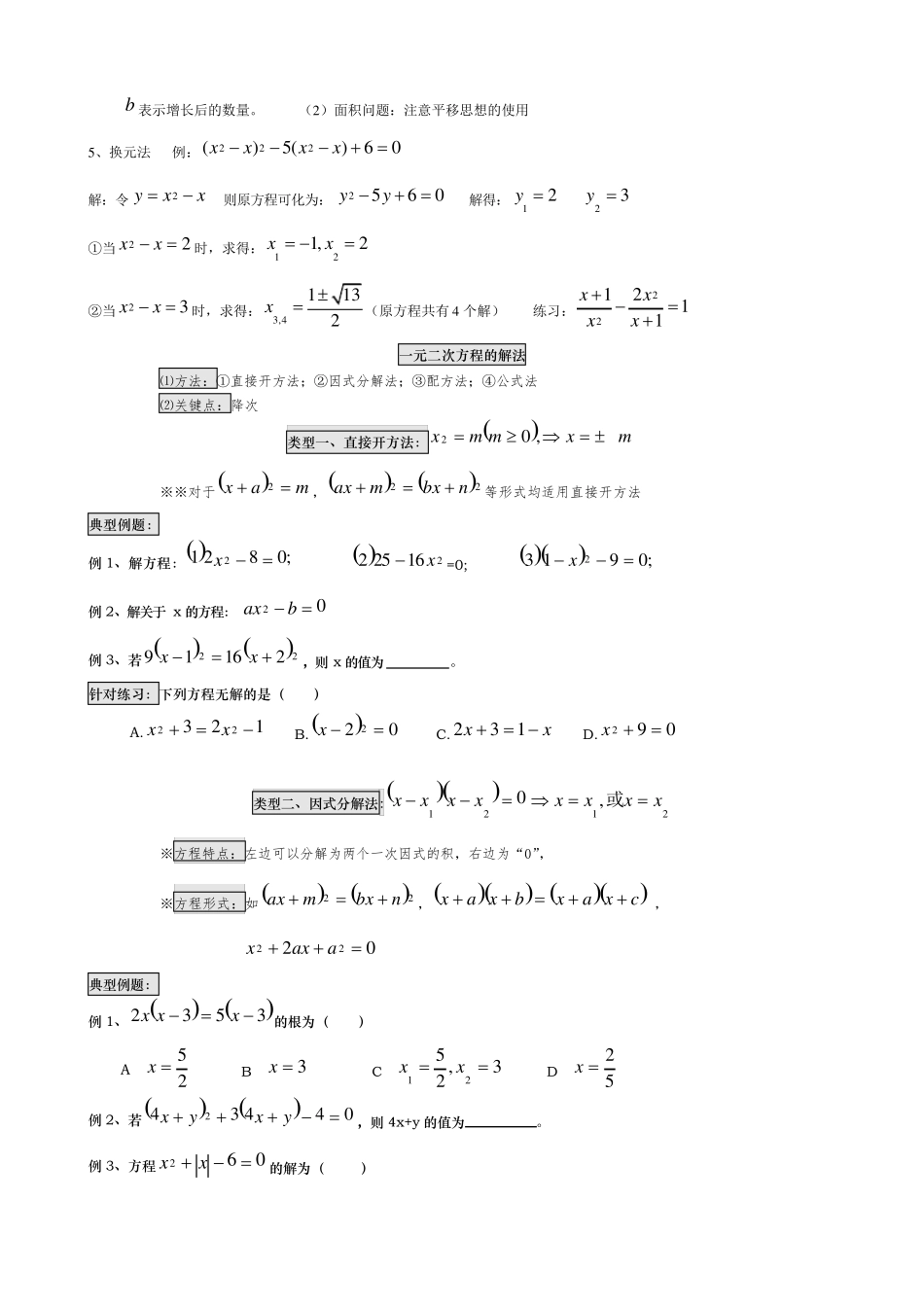
一元二次方程归纳总结 1 、一元二次方程的一般式:20 (0 )axbxca,a 为二次项系数,b 为一次项系数,c 为常数项。 2 、一元二次方程的解法 (1 )直接开平方法 (也可以使用因式分解法) ①2(0 )xa a 解为:xa  ②2()(0 )xab b 解为:xab  ③2()(0 )axbc c 解为:axbc  ④22()() ()ax bcxdac 解为:()axbcxd  (2 )因式分解法:提公因式分,平方公式,平方差,十字相乘法 (3 )公式法:一元二次方程20 (0 )axbxca,用配方法将其变形为:2224()24bbacxaa ①当240bac 时,右端是正数.因此,方程有两个不相等的实根:21 ,242bbacxa  ② 当240bac 时,右端是零.因此,方程有两个相等的实根:1 ,22bxa  ③ 当240bac 时,右端是负数.因此,方程没有实根。 注意:虽然所有的一元二次都可以用公式法来求解,但它往往并非最简单的,一定要注意方法的选用。 备注:公式法解方程的步骤: ①把方程化成一般形式:一元二次方程的一般式:20 (0 )axbxca,并确定出 a 、b 、c ②求出24bac ,并判断方程解的情况。 ③代公式:21 ,242bbacxa (要注意符号) 3 、一元二次方程的根与系数的关系 法1 :一元二次方程20 (0 )axbxca的两个根为: 221244,22bbacbbacxxaa   所以:22124422bbacbbacbxxaaa   , 22222122244()(4)422(2 )4bbacbbacbbacaccxxaaaaa   定理:如果一元二次方程20 (0)axbxca定的两个根为12,x x ,那么: 1212,bcxxx xaa  法2:如果一元二次方程20 (0)axbxca定的两个根为12,x x ;那么 2120()()0axbxca xxxx 两边同时除于a ,展开后可得: 2212120()0bcxxxxx xx xaa 12bxxa ;12cxxa• 法3:如果一元二次方程20 (0)axbxca定的两个根为12,x x ;那么 21122200axbxcaxbxc ①②得:12bxxa (余下略) 常用变形: 222121212()2xxxxx x, 12121211xxxxx x, 22121212()()4xxxxx x, 2121212||()4xxxxx x, 2212121212()x xx xx xxx, 2211121212122221...

1、当您付费下载文档后,您只拥有了使用权限,并不意味着购买了版权,文档只能用于自身使用,不得用于其他商业用途(如 [转卖]进行直接盈利或[编辑后售卖]进行间接盈利)。
2、本站所有内容均由合作方或网友上传,本站不对文档的完整性、权威性及其观点立场正确性做任何保证或承诺!文档内容仅供研究参考,付费前请自行鉴别。
3、如文档内容存在违规,或者侵犯商业秘密、侵犯著作权等,请点击“违规举报”。

碎片内容

一元二次方程归纳总结

您可能关注的文档

确认删除?
VIP
微信客服
  • 扫码咨询
会员Q群
  • 会员专属群点击这里加入QQ群
客服邮箱
回到顶部