电脑桌面
添加小米粒文库到电脑桌面
安装后可以在桌面快捷访问

三角函数公式及证明

三角函数公式及证明_第1页
1/15
三角函数公式及证明_第2页
2/15
三角函数公式及证明_第3页
3/15
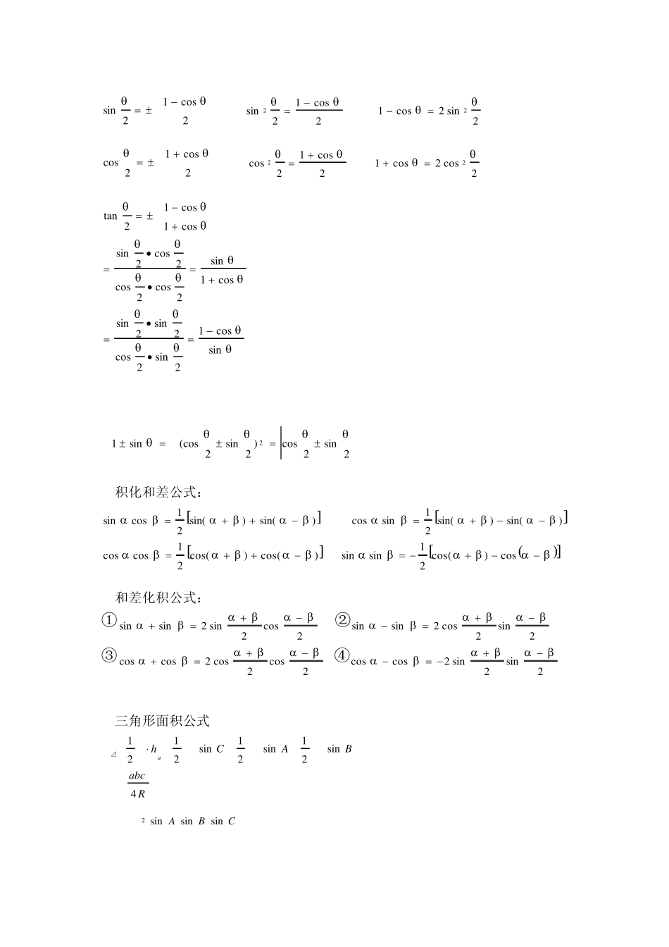
三角函数公式及证明 (本文由 hahacjh@qq.com 编辑整理 2013.5.3) 基 本 定 义 1.任意角的三角函数值: 在此单位圆中,弧 AB的长度等于 ; B点的横坐标cosx,纵坐标siny ; (由 三角形 OBC面积<弧形 OAB的面积<三角形 OMA的面积 可得: aatansin (20 )) 2.正切: cossintan 基 本 定 理 1.勾股定理: 1cossin22 1.正弦定理:Aasin=Bbsin=Ccsin= 2R (R为三角形外接圆半径) 2.余弦定理:a2 =b2 +c2 -2bcAcos bcacbA2cos222 3.诱导公试: k2 cottancossin 奇变偶不变,符号看相线 4.正余弦和差公式: ①sincoscossin)sin( ②sinsincoscos)cos( 推 导结论 1. 基本结论 2sin1)cos(sin2 22cos11tan 2. 正切和差公式: tantan1tantansinsincoscossincoscossin)cos()sin()tan( 3.二倍角公式(包含万能公式): 222tan1tan2cossincossin2cossin22sin 2222222222tan1tan1cossinsincossin211cos2sincos2cos 2tan1tan22cos2sin2tan 222tan1tan22cos1sin 22cos1cos 2 4.半角公式:(符号的选择由2 所在的象限确定) 2cos12sin 2cos12sin 2 2sin2cos12   2cos12cos 2cos12cos 2 2cos2cos12   sincos12sin2cos2sin2sincos1sin2cos2cos2cos2sincos1cos12tan 2sin2cos)2sin2(cossin12 5.积化和差公式: )sin()sin(21cossin)sin()sin(21sincos)cos()cos(21coscos cos)cos(21sinsin 6.和差化积公式: ①2cos2sin2sinsin ②2sin2cos2sinsin ③2cos2cos2coscos ④2sin2sin2coscos 7.三角形面积公式 S⊿=21 aah=21 ab Csin=21 bc Asin=21 ac Bsin =Rabc4 =2R2AsinBsin...

1、当您付费下载文档后,您只拥有了使用权限,并不意味着购买了版权,文档只能用于自身使用,不得用于其他商业用途(如 [转卖]进行直接盈利或[编辑后售卖]进行间接盈利)。
2、本站所有内容均由合作方或网友上传,本站不对文档的完整性、权威性及其观点立场正确性做任何保证或承诺!文档内容仅供研究参考,付费前请自行鉴别。
3、如文档内容存在违规,或者侵犯商业秘密、侵犯著作权等,请点击“违规举报”。

碎片内容

三角函数公式及证明

小辰8+ 关注
实名认证
内容提供者

出售各种资料和文档

相关文档

确认删除?
VIP
微信客服
  • 扫码咨询
会员Q群
  • 会员专属群点击这里加入QQ群
客服邮箱
回到顶部