电脑桌面
添加小米粒文库到电脑桌面
安装后可以在桌面快捷访问

任意项级数敛散性判断练习及答案

任意项级数敛散性判断练习及答案_第1页
1/6
任意项级数敛散性判断练习及答案_第2页
2/6
任意项级数敛散性判断练习及答案_第3页
3/6
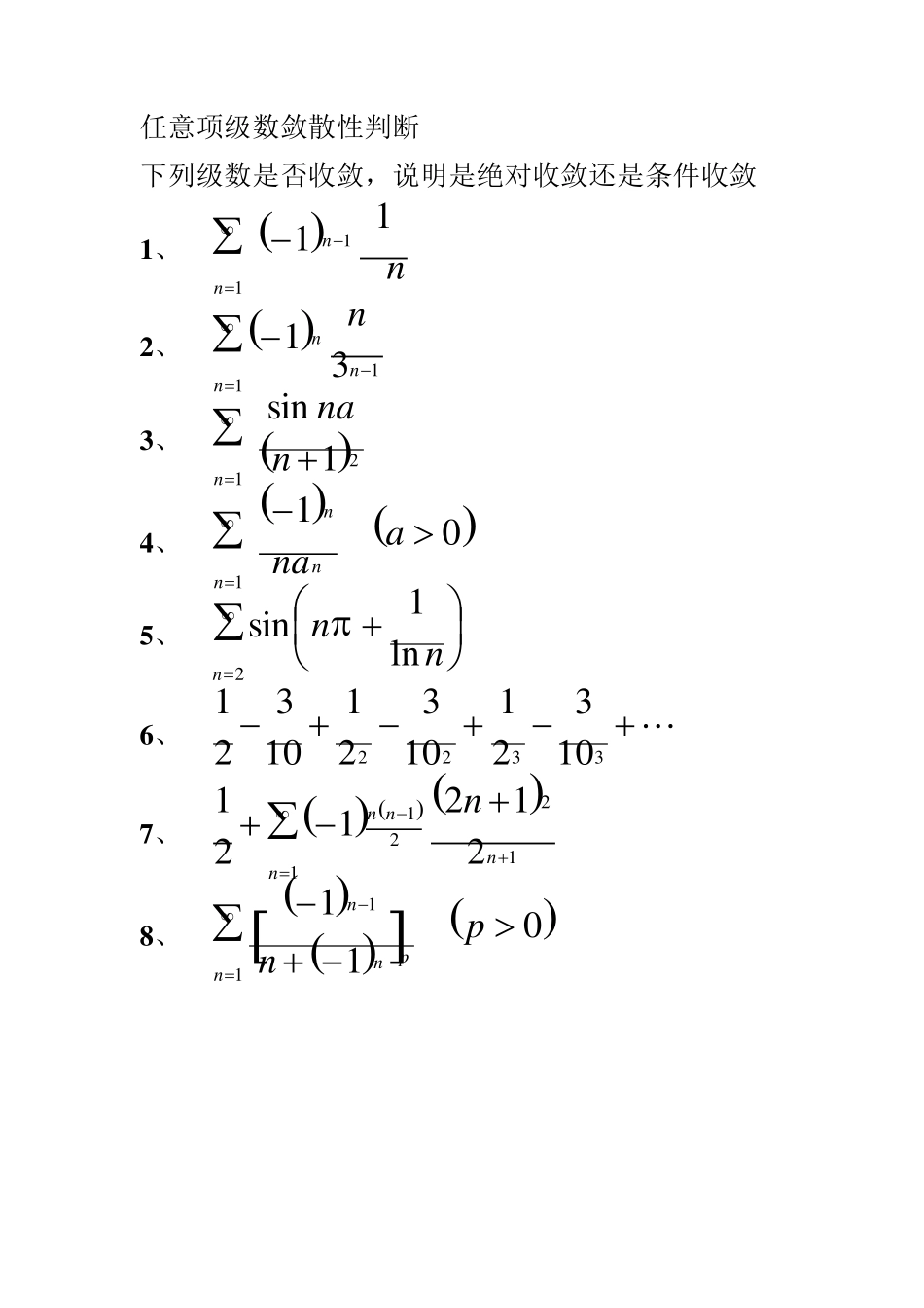
任意项级数敛散性判断 下列级数是否收敛,说明是绝对收敛还是条件收敛 1 、 11 11nnn 2 、 1131nnn n 3 、 121sinnnna 4 、  011anannn 5 、 2ln1sinnnn 6 、 3322103211032110321 7 、    11221212121nnnnn 8 、 01111pnnpnn 答 解:1、11 11nnn 取绝对值   11111nnnnn >∞ ( 21p 的 p 级数) 而原级数是交错级数 且: 01lim1111nunnunnn 由莱布尼兹定理,原级数收敛。所以是条件收敛。 2、1131nnn n 13111lim31331limlim11 nnnuunnnnnnn 绝对值级数  1131nnn n 所以原级数绝对收敛 3、121sinnnna 22111sinnnna 1211nn 是 p=2 的 p 级数。收敛! 所以由比较判别法,原级数绝对收敛 4、 011anannn 111limlim11aannauunnnnn a>1 时原级数绝对收敛 01 原级数绝对收敛 p≦1 原级数发散

1、当您付费下载文档后,您只拥有了使用权限,并不意味着购买了版权,文档只能用于自身使用,不得用于其他商业用途(如 [转卖]进行直接盈利或[编辑后售卖]进行间接盈利)。
2、本站所有内容均由合作方或网友上传,本站不对文档的完整性、权威性及其观点立场正确性做任何保证或承诺!文档内容仅供研究参考,付费前请自行鉴别。
3、如文档内容存在违规,或者侵犯商业秘密、侵犯著作权等,请点击“违规举报”。

碎片内容

任意项级数敛散性判断练习及答案

确认删除?
VIP
微信客服
  • 扫码咨询
会员Q群
  • 会员专属群点击这里加入QQ群
客服邮箱
回到顶部