电脑桌面
添加小米粒文库到电脑桌面
安装后可以在桌面快捷访问

华北电力大学导师联系方式

华北电力大学导师联系方式_第1页
1/12
华北电力大学导师联系方式_第2页
2/12
华北电力大学导师联系方式_第3页
3/12
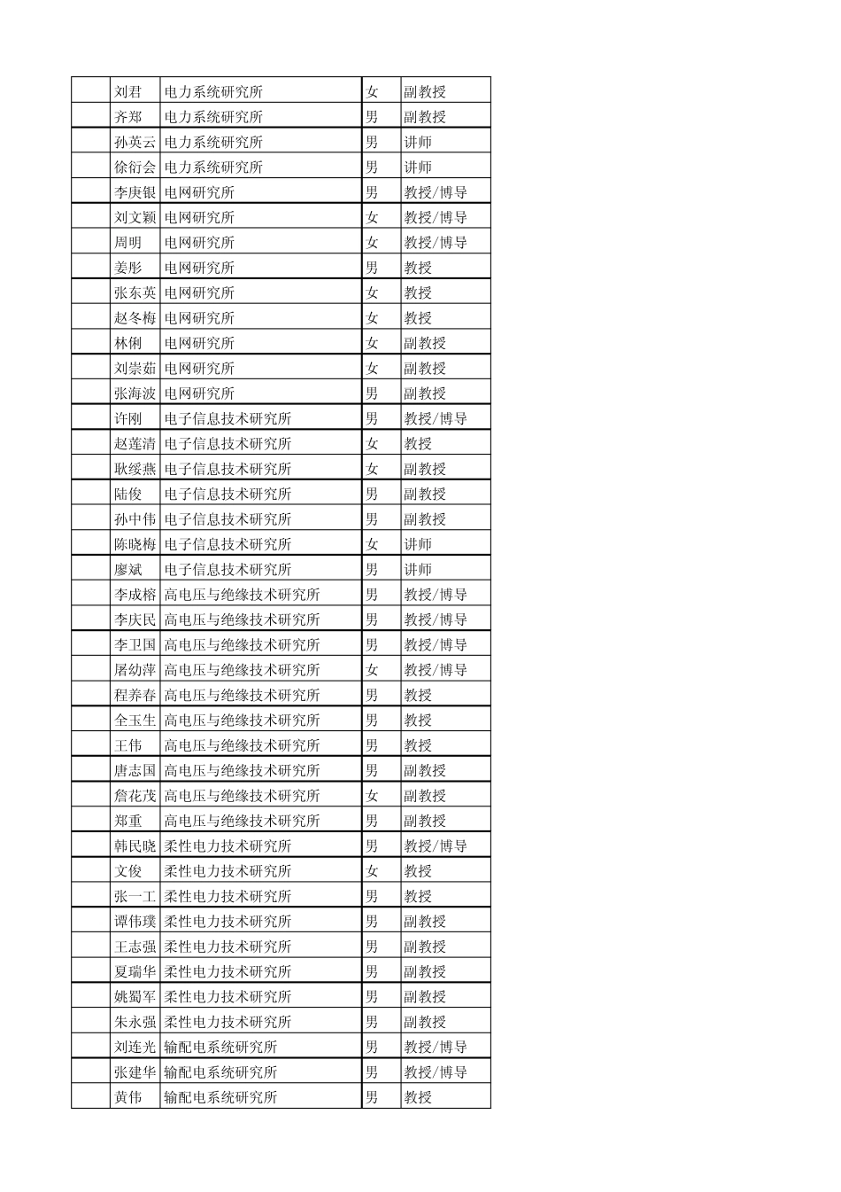
序号姓名研究所性别职称1崔翔电磁与超导电工研究所男教授/博导2李琳电磁与超导电工研究所男教授/博导3卢铁兵 电磁与超导电工研究所男教授/博导4王银顺 电磁与超导电工研究所男教授/博导5王泽忠 电磁与超导电工研究所男教授/博导6张卫东 电磁与超导电工研究所男教授7焦重庆 电磁与超导电工研究所男副教授8卢斌先 电磁与超导电工研究所男副教授9齐磊电磁与超导电工研究所男副教授10赵志斌 电磁与超导电工研究所男副教授11刘宏伟 电磁与超导电工研究所女讲师12宗伟电工电子教学实验中心女教授13李月乔 电工电子教学实验中心女副教授14刘向军 电工电子教学实验中心女副教授15文亚凤 电工电子教学实验中心女副教授16张慧媛 电工电子教学实验中心女副教授17杨慧娜 电工电子教学实验中心女讲师18李和明 电机运行控制与节能技术研究所男教授/博导19刘晓芳 电机运行控制与节能技术研究所女教授20尹忠东 电机运行控制与节能技术研究所男教授21崔学深 电机运行控制与节能技术研究所男副教授22刘明基 电机运行控制与节能技术研究所男副教授23王红宇 电机运行控制与节能技术研究所男副教授24秦立军 电力科学研究院男教授25张粒子 电力市场研究所女教授/博导26曹昉电力市场研究所女副教授27麻秀范 电力市场研究所女副教授28毛安家 电力市场研究所男副教授29舒隽电力市场研究所男副教授30王雁凌 电力市场研究所女副教授31郑华电力市场研究所男副教授32程瑜电力市场研究所女讲师33黄弦超 电力市场研究所女讲师34马进电力系统研究所男副教授/博导35艾欣电力系统研究所男教授/博导36鲍海电力系统研究所男教授37王鹏电力系统研究所男教授38董雷电力系统研究所女副教授39李岩松 电力系统研究所男副教授40刘宝柱 电力系统研究所男副教授41刘君电力系统研究所女副教授42齐郑电力系统研究所男副教授43孙英云电力系统研究所男讲师44徐衍会电力系统研究所男讲师45李庚银电网研究所男教授/博导46刘文颖电网研究所女教授/博导47周明电网研究所女教授/博导48姜彤电网研究所男教授49张东英电网研究所女教授50赵冬梅电网研究所女教授51林俐电网研究所女副教授52刘崇茹电网研究所女副教授53张海波电网研究所男副教授54许刚电子信息技术研究所男教授/博导55赵莲清电子信息技术研究所女教授56耿绥燕电子信息技术研究所女副教授57陆俊电子信息技术研究所男副教授58孙中伟电子信息技术研究所男副教授59陈晓梅电子信息技术研究所女讲师60廖斌电子信息技术研...

1、当您付费下载文档后,您只拥有了使用权限,并不意味着购买了版权,文档只能用于自身使用,不得用于其他商业用途(如 [转卖]进行直接盈利或[编辑后售卖]进行间接盈利)。
2、本站所有内容均由合作方或网友上传,本站不对文档的完整性、权威性及其观点立场正确性做任何保证或承诺!文档内容仅供研究参考,付费前请自行鉴别。
3、如文档内容存在违规,或者侵犯商业秘密、侵犯著作权等,请点击“违规举报”。

碎片内容

华北电力大学导师联系方式

您可能关注的文档

确认删除?
VIP
微信客服
  • 扫码咨询
会员Q群
  • 会员专属群点击这里加入QQ群
客服邮箱
回到顶部