电脑桌面
添加小米粒文库到电脑桌面
安装后可以在桌面快捷访问

各种材料强度值

各种材料强度值_第1页
1/6
各种材料强度值_第2页
2/6
各种材料强度值_第3页
3/6
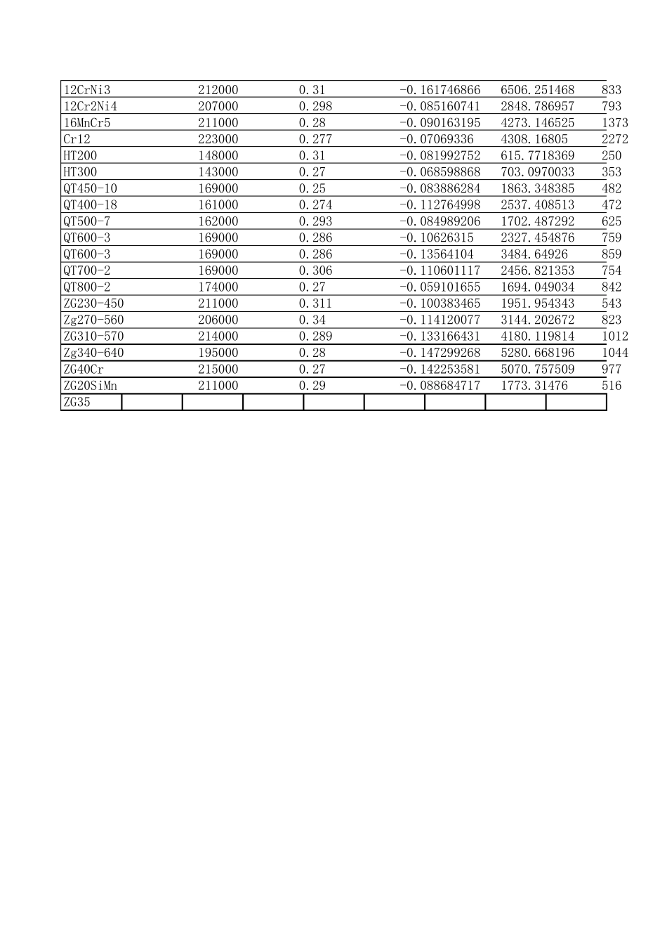
材料 E(MPa) v泊松比 b1斜率 STR1截距 UTS抗拉强1234567890123456789 12345678901234 12345678901234 12345678901234 12345678901234 1234567890Q235A级(F) 208000 0.277 -0.073051355 1193.937216 428 Q235B 212000 0.286 -0.069628185 1443.511314 441 20钢 213000 0.282 -0.050842201 1069.765529 463 30钢 217000 0.317 -0.100351229 3170.518903 808 35钢 212000 0.291 -0.058571671 1338.616806 593 45钢 209000 0.269 -0.082778716 1729.199104 624 45钢 209000 0.269 -0.063748677 1829.186764 740 45钢 209000 0.269 -0.09553562 3081.602352 934 45钢 209000 0.269 -0.088112714 3078.818298 970 55钢 217000 0.272 -0.084738581 2522.719171 834 16Mn 212000 0.286 -0.060977097 1603.955416 586 12CrNi3 212000 0.31 -0.161746866 6506.251468 833 12Cr2Ni4 207000 0.298 -0.085160741 2848.786957 793 16MnCr5 211000 0.28 -0.090163195 4273.146525 1373 19CN5 213000 0.29 -0.080101248 3886.10598 1470 20Cr 207000 0.254 -0.062104086 1394.411863 577 20Cr2Ni4A 207000 0.29 -0.082491235 3936.957661 1483 20CrMnSi 210000 0.276 -0.137387171 4534.537928 789 20SiMnVB 210000 0.265 -0.0731224 3383.923205 1166 20MnCr5 209000 0.28 -0.097418412 5014.203309 1482 28MnCr5 212000 0.28 -0.102461116 3891.562721 1307 35CrMo 213000 0.286 -0.113543464 4170.184376 924 35VB 213000 0.26 -0.129676457 4373.942678 741 40Cr 211000 0.277 -0.145401672 6059.550258 940 40MnB 209000 0.284 -0.130074533 4981.579859 1037 40MnVB 210000 0.28 -0.108381111 4807.678431 1111 40CrNiMo 209000 0.295 -0.149772346 7174.172058 960 18Cr2Ni4w 202000 0.273 -0.119547155 4981.277891 1039 40CrMNMo 211000 0.29 -0.090918183 3319.411465 977 42CrMo 212000 0.28 -0.101601235 4140.477972 1134 45Mn2 204000 0.28 -0.0707664 2625.144843 952 55Tid 210000 0.285 -0.062546519 2157.207575 869 LF10MnSiTi 215000 0.27 -0.027137189 2088.520688 861 YF45MnV 212000 0.28 -0.064722406 1885.1596...

1、当您付费下载文档后,您只拥有了使用权限,并不意味着购买了版权,文档只能用于自身使用,不得用于其他商业用途(如 [转卖]进行直接盈利或[编辑后售卖]进行间接盈利)。
2、本站所有内容均由合作方或网友上传,本站不对文档的完整性、权威性及其观点立场正确性做任何保证或承诺!文档内容仅供研究参考,付费前请自行鉴别。
3、如文档内容存在违规,或者侵犯商业秘密、侵犯著作权等,请点击“违规举报”。

碎片内容

各种材料强度值

您可能关注的文档

确认删除?
VIP
微信客服
  • 扫码咨询
会员Q群
  • 会员专属群点击这里加入QQ群
客服邮箱
回到顶部