电脑桌面
添加小米粒文库到电脑桌面
安装后可以在桌面快捷访问

一年级上册语文生字表

一年级上册语文生字表_第1页
1/3
一年级上册语文生字表_第2页
2/3
一年级上册语文生字表_第3页
3/3
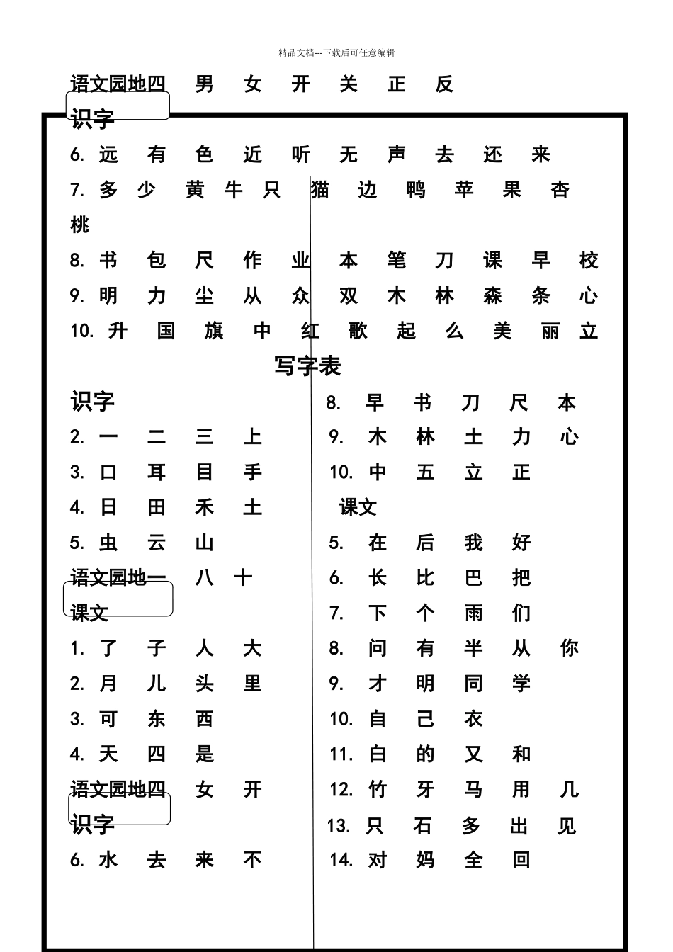
精品文档---下载后可任意编辑识字表1. 天 地 人 你 我 他2. 一 二 三 四 五 上 下3. 口 耳 目 手 足 站 坐4. 日 月 水 火 山 石 田 禾5. 对 云 雨 风 花 鸟 虫语文园地一 六 七 八 九 十汉语拼音3. 爸 妈4. 马 土 不5. 画 打6. 棋 鸡7. 字 词 语 句 子8. 桌 纸语文园地二 文 数 学 音 乐 9. 妹 奶 白 皮 12. 草 家 是 10. 小 桥 台 13. 车 羊 走 也11. 雪 儿课文1. 秋 气 了 树 叶 片 大 飞 会 个2. 的 船 两 头 在 里 看 见 闪 星3. 江 南 可 采 莲 鱼 东 西 北4. 尖 说 春 青 蛙 夏 弯 地 就 冬精品文档---下载后可任意编辑语文园地四 男 女 开 关 正 反识字6. 远 有 色 近 听 无 声 去 还 来7. 多 少 黄 牛 只 猫 边 鸭 苹 果 杏 桃8. 书 包 尺 作 业 本 笔 刀 课 早 校9. 明 力 尘 从 众 双 木 林 森 条 心10. 升 国 旗 中 红 歌 起 么 美 丽 立 写字表识字 8. 早 书 刀 尺 本2. 一 二 三 上 9. 木 林 土 力 心3. 口 耳 目 手 10. 中 五 立 正4. 日 田 禾 土 课文5. 虫 云 山 5. 在 后 我 好语文园地一 八 十 6. 长 比 巴 把 课文 7. 下 个 雨 们1. 了 子 人 大 8. 问 有 半 从 你2. 月 儿 头 里 9. 才 明 同 学 3. 可 东 西 10. 自 己 衣4. 天 四 是 11. 白 的 又 和语文园地四 女 开 12. 竹 牙 马 用 几识字 13. 只 石 多 出 见6. 水 去 来 不 14. 对 妈 全 回精品文档---下载后可任意编辑7. 小 少 年 果 鸟 语文园地八 工 厂语文园地五 午 晚 昨 今 年课文5. 影 前 后 黑 狗 左 右 它 好 朋 友6. 比 尾 巴 谁 长 短 把 伞 兔 最 公7. 写 诗 点 要 过 给 当 串 们 以 成8. 数 彩 半 空 问 到 方 没 更 绿 出 长9. 睡 那 海 真 老 师 吗 同 什 才 亮10. 时 候 觉 得 自 己 很 穿 衣 服 快11. 蓝 又 笑 着 向 和 贝 娃 娃 活 金语文园地七 哥 姐 弟 叔 爷12. 群 竹 牙 用 几 步 为 参 加 洞 着13. 乌 鸦 处 找 办 旁 许 法 放 进 高14. 住 孩 玩 吧 发 芽 爬 呀 久 回 全 变语文园地八 工 厂 医 院 生(共 300 个生字)

1、当您付费下载文档后,您只拥有了使用权限,并不意味着购买了版权,文档只能用于自身使用,不得用于其他商业用途(如 [转卖]进行直接盈利或[编辑后售卖]进行间接盈利)。
2、本站所有内容均由合作方或网友上传,本站不对文档的完整性、权威性及其观点立场正确性做任何保证或承诺!文档内容仅供研究参考,付费前请自行鉴别。
3、如文档内容存在违规,或者侵犯商业秘密、侵犯著作权等,请点击“违规举报”。

碎片内容

一年级上册语文生字表

办公文档专营+ 关注
实名认证
内容提供者

大量办公文档,欢迎选择

相关文档

确认删除?
VIP
微信客服
  • 扫码咨询
会员Q群
  • 会员专属群点击这里加入QQ群
客服邮箱
回到顶部