电脑桌面
添加小米粒文库到电脑桌面
安装后可以在桌面快捷访问

待定系数法在数列中的应用

待定系数法在数列中的应用_第1页
1/6
待定系数法在数列中的应用_第2页
2/6
待定系数法在数列中的应用_第3页
3/6
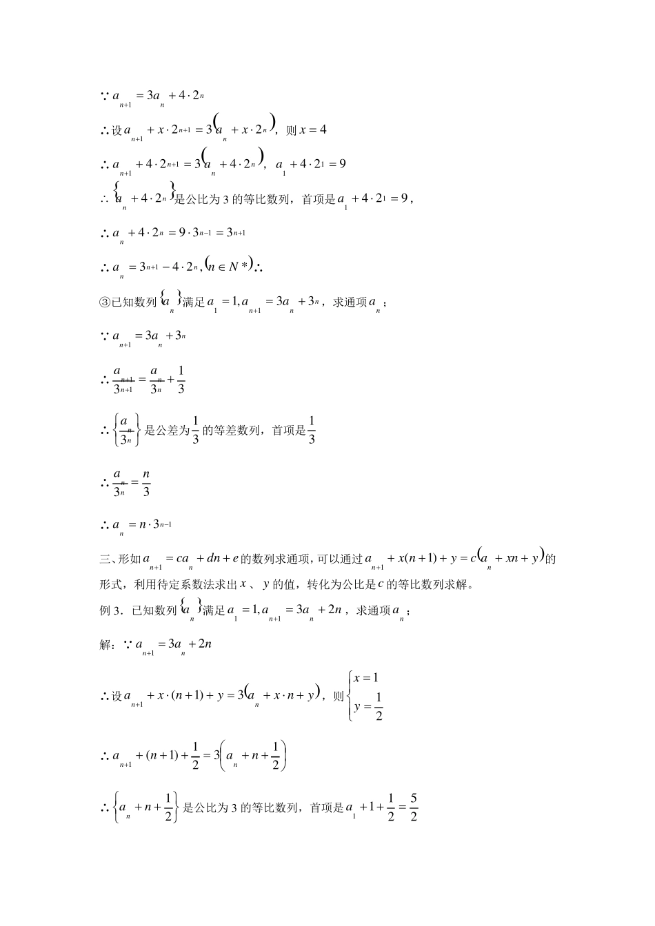
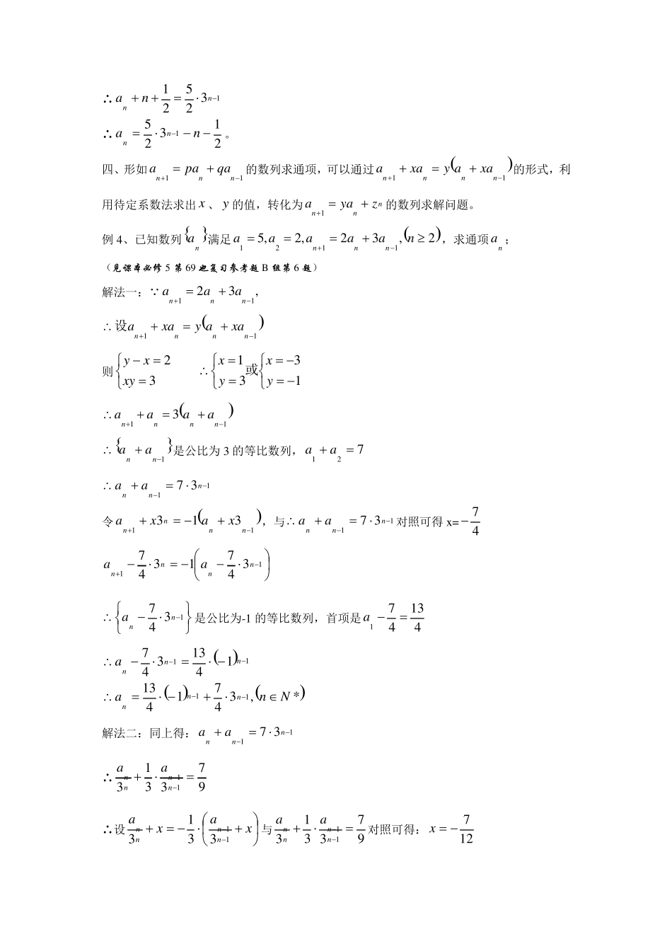
待 定 系 数 法 在 数 列 中 的 应 用 待定系数法是一种常用的数学方法。对于某些数学问题,如果已知所求结果具有某种确定的形式,则可引进一些尚待确定的系数来表示这种结果,通过已知条件建立起给定的算式和结果之间的恒等式,得到以待定系数为元的方程或方程组,解之即得待定的系数。广泛应用于多项式的因式分解,求函数的解析式和曲线的方程等。这里谈谈利用待定系数法解决数列中已知递推关系式求通项的一些解法,供大家参考: 一、形如dcaann1的数列求通项,可以通过xacxann1的形式,利用待定系数法求出x 的值,转化为公比是c 的等比数列求解。 例3 .已知数列 na满足23,111nnaaa,求通项na ; 解: 231nnaa,∴设xaxann31,则1x ∴1311nnaa ∴1na是公比为3 的等比数列,首项是 211a ∴1321nna ∴*,1321Nnann 二 、形如nnndmcaa1的数列求通项,当dc 时 ,可以通过nnnndxacdxa11的形式,利用待定系数法求出x的值,转化为公比是c 的等比数列求解;当dc 时,转化为等差数列求解。 例2 . ①已知数列 na满足nnnaaa23,111,求通项na ; nnnaa231 ∴设nnnnxaxa23211,则1x ∴nnnnaa23211, nna2是公比为3 的等比数列,首项是32 11a ∴nnnna33321  ∴*,23Nnannn∴ ②已知数列 na满足nnnaaa243,111,求通项na ; nnnaa2431 ∴设nnnnxaxa23211,则4x ∴nnnnaa2432411,92411a nna24 是公比为 3 的等比数列,首项是92411a, ∴1133924 nnnna ∴*,2431Nnannn∴ ③已知数列 na满足nnnaaa33,111,求通项na ; nnnaa331 ∴313311nnnnaa ∴nna3是公差为 31的等差数列,首项是 31 ∴33nann  ∴13nnna 三、形如edncaann1的数列求通项,可以通过yxnacynxann)1(1的形式,利用待定系数法求出 x、 y 的值,转化为公比是c 的等比数列求解。 例 3 .已知数列 na满足naaann23,111,求通项na ; 解: naann231 ∴设ynxaynxann...

1、当您付费下载文档后,您只拥有了使用权限,并不意味着购买了版权,文档只能用于自身使用,不得用于其他商业用途(如 [转卖]进行直接盈利或[编辑后售卖]进行间接盈利)。
2、本站所有内容均由合作方或网友上传,本站不对文档的完整性、权威性及其观点立场正确性做任何保证或承诺!文档内容仅供研究参考,付费前请自行鉴别。
3、如文档内容存在违规,或者侵犯商业秘密、侵犯著作权等,请点击“违规举报”。

碎片内容

待定系数法在数列中的应用

您可能关注的文档

小辰5+ 关注
实名认证
内容提供者

出售各种资料和文档

确认删除?
VIP
微信客服
  • 扫码咨询
会员Q群
  • 会员专属群点击这里加入QQ群
客服邮箱
回到顶部