电脑桌面
添加小米粒文库到电脑桌面
安装后可以在桌面快捷访问

微分积分公式(全集)

微分积分公式(全集)_第1页
1/6
微分积分公式(全集)_第2页
2/6
微分积分公式(全集)_第3页
3/6
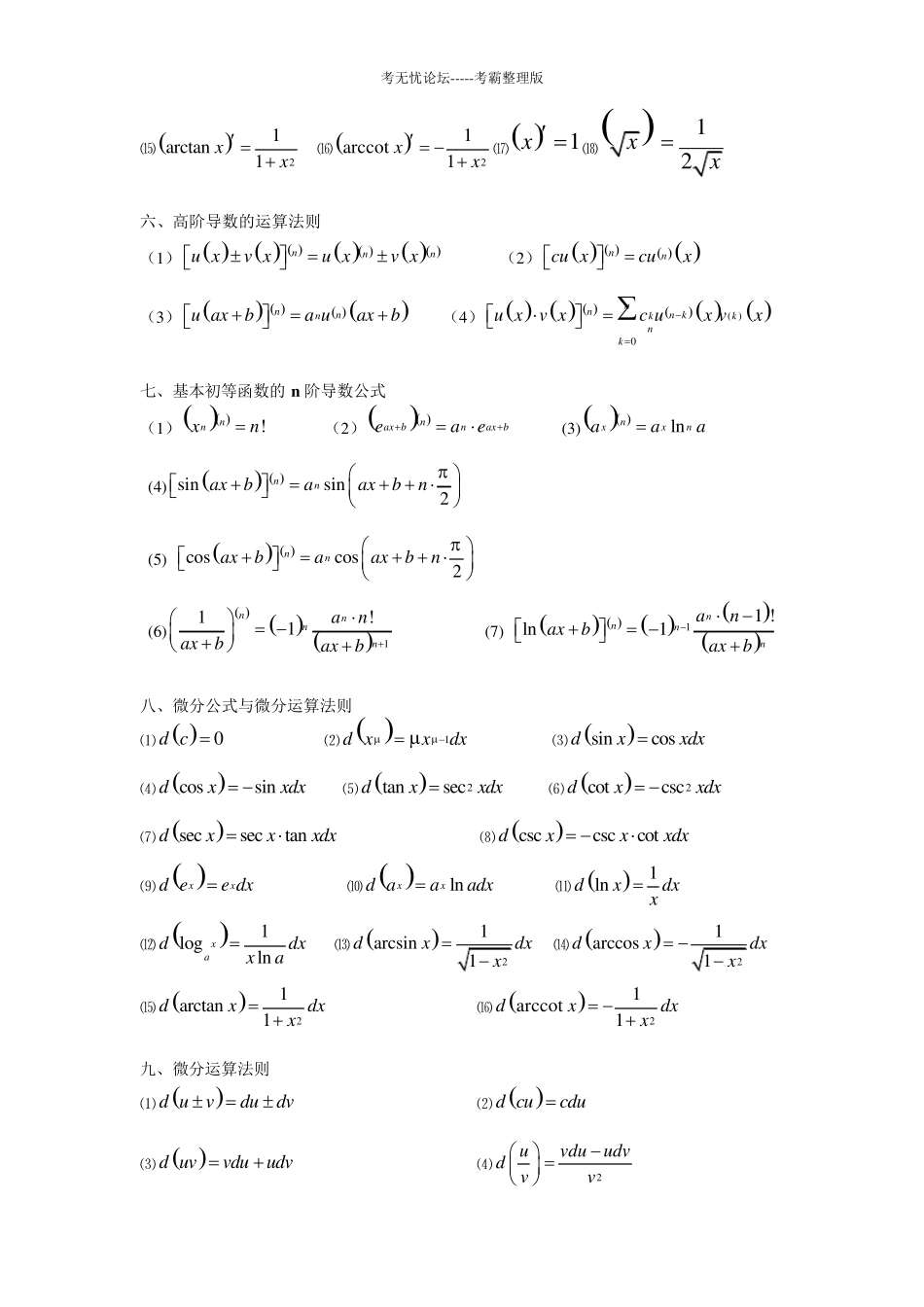
考无忧论坛-----考霸整理版 高中大学数学微分与积分公式(全集) (高中大学数学) 一、00101101lim0nnnmmxmanmba xa xanmb xb xbnm  (系数不为0 的情况) 二、重要公式(1)0sinlim1xxx (2)10lim 1xxxe (3)lim()1nna ao (4)lim1nnn (5)limarctan2xx (6)limtan2xarcx  (7)limarccot0xx (8)lim arccotxx (9)lim0xxe (10)limxxe  (11)0lim1xxx 三、下列常用等价无穷小关系(0x ) sin xx tan xx arcsin xx arctan xx 211 cos2xx ln 1xx 1xex 1lnxaxa 11xx 四、导数的四则运算法则 uvuv  uvu vuv 2uu vuvvv  五、基本导数公式 ⑴ 0c   ⑵1xx ⑶sincosxx  ⑷cossinxx   ⑸2tansecxx  ⑹2cotcscxx   ⑺secsectanxxx  ⑻csccsccotxxx   ⑼ xxee  ⑽ lnxxaaa  ⑾1ln xx  ⑿1loglnxaxa  ⒀21arcsin1xx  ⒁21arccos1xx   考无忧论坛-----考霸整理版 ⒂21arctan1xx   ⒃21arccot1xx   ⒄ 1x  ⒅ 12xx  六、高阶导数的运算法则 (1)        nnnu xv xu xv x (2)     nncu xcux (3)   nnnu axba uaxb (4)       ( )0nnn kkknku xv xc ux vx 七、基本初等函数的n 阶导数公式 (1)  !nnxn (2) nax bnax beae (3)  lnnxxnaaa (4)  sinsin2nnaxbaaxbn  (5)   coscos2nnaxbaaxbn  (6)    11!1nnnnanaxbaxb  (7)     11 !ln1nnnnanaxbaxb  八、微分公式与微分运算法则 ⑴...

1、当您付费下载文档后,您只拥有了使用权限,并不意味着购买了版权,文档只能用于自身使用,不得用于其他商业用途(如 [转卖]进行直接盈利或[编辑后售卖]进行间接盈利)。
2、本站所有内容均由合作方或网友上传,本站不对文档的完整性、权威性及其观点立场正确性做任何保证或承诺!文档内容仅供研究参考,付费前请自行鉴别。
3、如文档内容存在违规,或者侵犯商业秘密、侵犯著作权等,请点击“违规举报”。

碎片内容

微分积分公式(全集)

小辰7+ 关注
实名认证
内容提供者

出售各种资料和文档

相关文档

确认删除?
VIP
微信客服
  • 扫码咨询
会员Q群
  • 会员专属群点击这里加入QQ群
客服邮箱
回到顶部