电脑桌面
添加小米粒文库到电脑桌面
安装后可以在桌面快捷访问

2025年中考数学第一轮基础知识点检测

2025年中考数学第一轮基础知识点检测_第1页
1/4
2025年中考数学第一轮基础知识点检测_第2页
2/4
2025年中考数学第一轮基础知识点检测_第3页
3/4
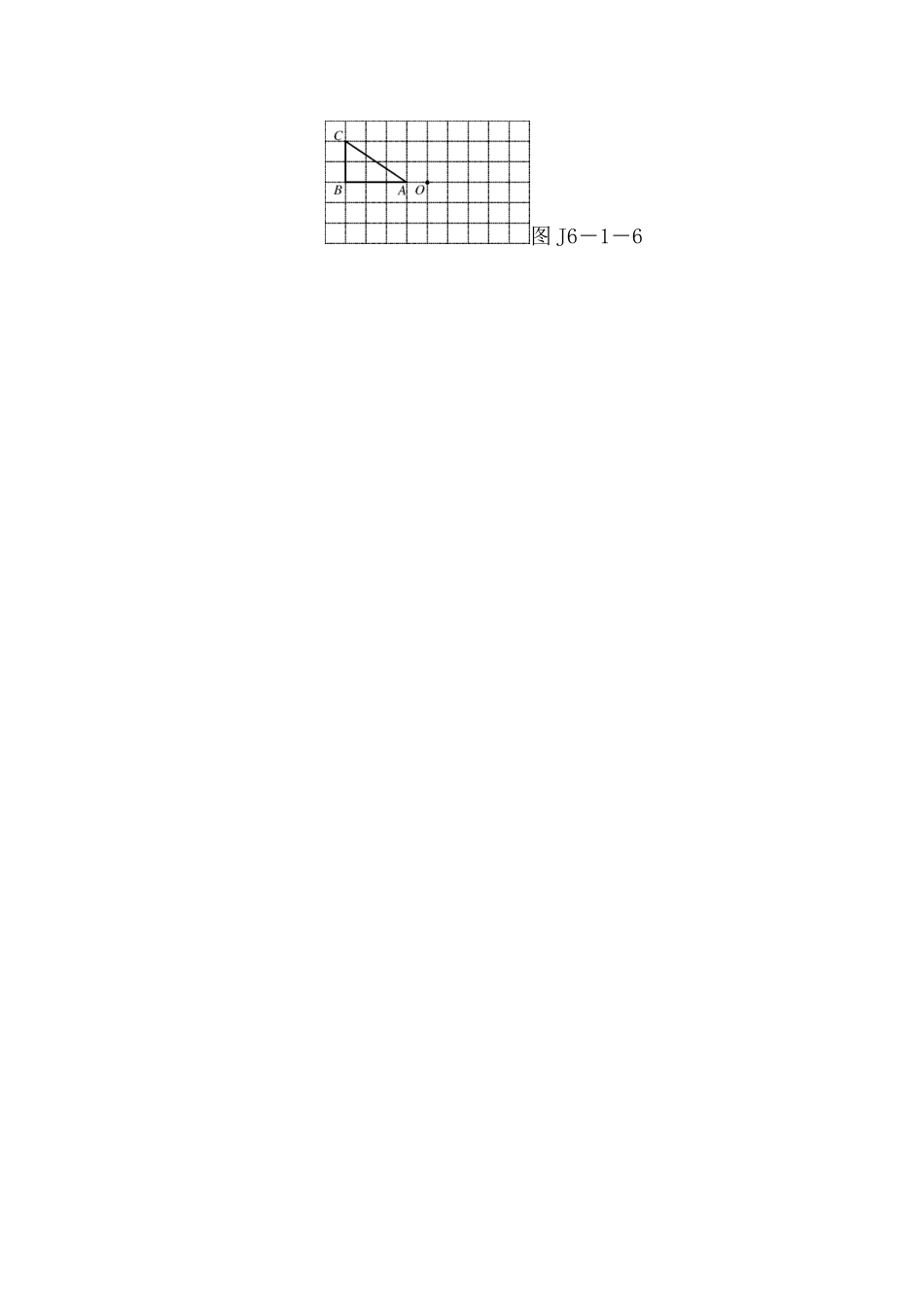
基础知识反馈卡·6.1时间:15 分钟 满分:50 分一、选择题(每题 4 分,共 20 分)1.下图形中,是轴对称图形的有( )① 角;②线段;③等腰三角形;④直角三角形;⑤圆;⑥锐角三角形.A . 2 个 B . 3 个 C . 4 个 D.5 个2.下列几种运动属于平移的有( )① 水平运送带上的砖在运动;②升降机上下做机械运动;③足球场上足球的运动;④超市里电梯上的乘客;⑤平直公路上行驶的汽车.A.2 种 B.3 种 C.4 种 D.5 种3.如图 J6-1-1,香港尤其行政区区徽是由五个同样的花瓣构成的,它可以看作是由其中一种花瓣通过怎样的变化而得到的( )A.平移 B.对称 C.旋转 D.先平移, 后旋转 图 J6-1-1 图 J6-1-24.如图 J6-1-2,△ABC 与△A′B′C′有关点 O 成中心对称,下列结论不成立的是( )A.OC=OC′ B.OA=OA′ C.BC=B′C′ D.∠ABC=∠A′C′B′5.下列既是轴对称图形又是中心对称图形的是( ) A B C D二、填空题(每题 4 分,共 16 分)6.正五角星的对称轴的条数是________.7.如图 J6-1-3,△ABC 按逆时针方向旋转一定的角度后抵达△AB′C′的位置,则旋转中心是点________,旋转角度是________度. 图 J6-1-3 图 J6-1-4 图 J6-1-58.如图 J6-1-4,△ABC 中,AB=AC=14 cm,D 是 AB 的中点,DE⊥AB 于点 D,交 AC 于点 E,△EBC 的周长是 24 cm,则 BC=________.9.正方形 ABCD 在坐标系中的位置如图 J6-1-5,将正方形ABCD 绕点 D 按顺时针方向旋转 90°后,点 B 的坐标为________. 答题卡题号12345答案6.______________ 7.______________ ______________8.______________ 9.______________三、解答题(共 14 分)10.画图题.如图 J6-1-6,将△ABC 绕点 O 顺时针旋转 180°后得到△A1B1C1,请你画出旋转后的△A1B1C1 ;图 J6-1-6基础知识反馈卡·6.11.C 2.C 3.C 4.D 5.D6.5 条 7.A 508.10 cm 9.(4,0) 10.略薄雾浓云愁永昼, 瑞脑消金兽。 佳节又重阳, 玉枕纱厨, 午夜凉初透。东篱把酒傍晚后, 有暗香盈袖。 莫道不消魂, 帘卷西风, 人比黄花瘦。

1、当您付费下载文档后,您只拥有了使用权限,并不意味着购买了版权,文档只能用于自身使用,不得用于其他商业用途(如 [转卖]进行直接盈利或[编辑后售卖]进行间接盈利)。
2、本站所有内容均由合作方或网友上传,本站不对文档的完整性、权威性及其观点立场正确性做任何保证或承诺!文档内容仅供研究参考,付费前请自行鉴别。
3、如文档内容存在违规,或者侵犯商业秘密、侵犯著作权等,请点击“违规举报”。

碎片内容

2025年中考数学第一轮基础知识点检测

卷上珠帘+ 关注
实名认证
内容提供者

该用户很懒,什么也没介绍

确认删除?
VIP
微信客服
  • 扫码咨询
会员Q群
  • 会员专属群点击这里加入QQ群
客服邮箱
回到顶部