电脑桌面
添加小米粒文库到电脑桌面
安装后可以在桌面快捷访问

材料汇总及价差调整表

材料汇总及价差调整表_第1页
1/8
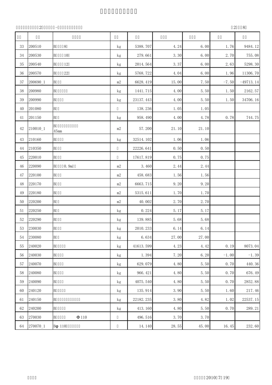
材料汇总及价差调整表_第2页
2/8
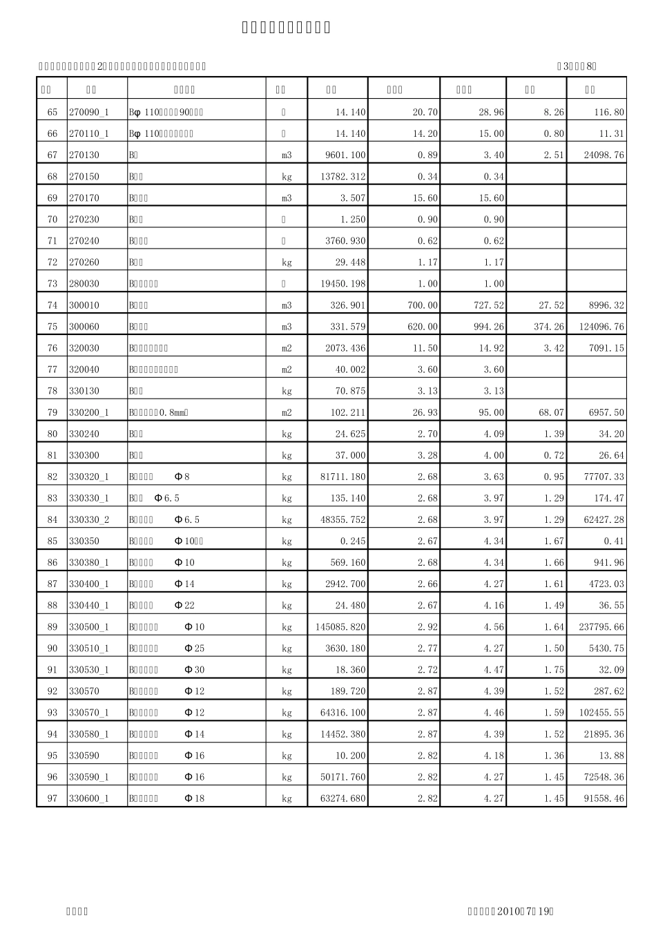
材料汇总及价差调整表_第3页
3/8
序号编号材料名称单位数量定额价信息价价差合价1100001A机上人工工日19.7046.0026.302100002A综合人工工日61213.23219.7019.703100002_1A综合人工工日16911.37619.7019.704AAA001A人工增加费元362690.5571.001.005AAAAQTA其它人工费元10035.1801.001.006110020B水泥425#kg910912.2560.280.360.0874694.807110030B水泥525#kg0.360.368110050B白水泥kg942.8870.535.685.154855.879120120B高效减水剂kg9.3252.102.1010130010B红青砖240×115×53千块4.699219.00270.0051.00239.6511130010.1粘土多孔砖MU10(240x115x90)块235586.0000.380.470.0921202.7412130010.1_1粘土多孔砖MU10(190x190x90)块280144.6640.380.620.2467234.7213130010.2砼空心砖MU10(240x115x90)块108063.7600.400.470.077564.4614130010.2_1砼空心砖MU10(190x190x90)块73685.4800.400.620.2216210.8115130010.3粘土空心砖(非承重)(240x240x115、180)m3408.721180.00194.2614.265828.3616130170B中、粗砂(天然砂综合)m30.30630.5167.8437.3311.4217130180B中净砂(过筛)m3627.07234.0076.0542.0526368.3818130190B粗净砂m31962.74939.0082.7143.7185791.7619130300B石灰膏m3228.160144.00282.75138.7531657.2020130490B砾石(混合)m32.78042.0089.7047.70132.6121130500B砾石最大粒径20mmm32.74841.0089.7048.70133.8322130510B砾石最大粒径40mmm31.13043.0089.7046.7052.7723130560B碎石最大粒径40mmm31.14449.0085.9436.9442.2624170470_1B面砖45×145千块210.97-210.9725170590_1B黑色玻化砖超黑亮200×800m2439.63042.0040.63-1.37-602.2926170600_1B超黑扫脚线砖m2156.47834.6739.584.91768.7827170660_1B星灿牌玻化砖800×800m21163.443125.0036.56-88.44-102891.4128180160B117胶kg14202.1861.261.2629200010B铁钉kg0.6395.375.3730200160B大射钉套27523.7211.101.1031200180B铁钉[园钉]kg9741.1545.375.3732200450B其它铁件kg1612.0594.004.780.781252.57材料汇总及价差调整表工程名称:景城苑小区2#栋(架空层-屋面)工程(土建部分)第1页,共8页 编制人: 编制日期:2010年7月19日 序号编号材料名称单位数量定额价信息价价差合价33200510B镀锌铁丝8#kg5388.7074.246.001.769484.1234200530B镀锌铁丝10#kg279.6613.306.002.70755.0835200540B镀锌铁丝12#kg2014.5643.376.002.635298.3036200570B镀锌铁丝22#kg5768.7224.046.001.9611306.7037200690_1B钢丝网m26628.41915.007...

1、当您付费下载文档后,您只拥有了使用权限,并不意味着购买了版权,文档只能用于自身使用,不得用于其他商业用途(如 [转卖]进行直接盈利或[编辑后售卖]进行间接盈利)。
2、本站所有内容均由合作方或网友上传,本站不对文档的完整性、权威性及其观点立场正确性做任何保证或承诺!文档内容仅供研究参考,付费前请自行鉴别。
3、如文档内容存在违规,或者侵犯商业秘密、侵犯著作权等,请点击“违规举报”。

碎片内容

材料汇总及价差调整表

您可能关注的文档

确认删除?
VIP
微信客服
  • 扫码咨询
会员Q群
  • 会员专属群点击这里加入QQ群
客服邮箱
回到顶部