电脑桌面
添加小米粒文库到电脑桌面
安装后可以在桌面快捷访问

标准跟踪信息

标准跟踪信息_第1页
1/53
标准跟踪信息_第2页
2/53
标准跟踪信息_第3页
3/53
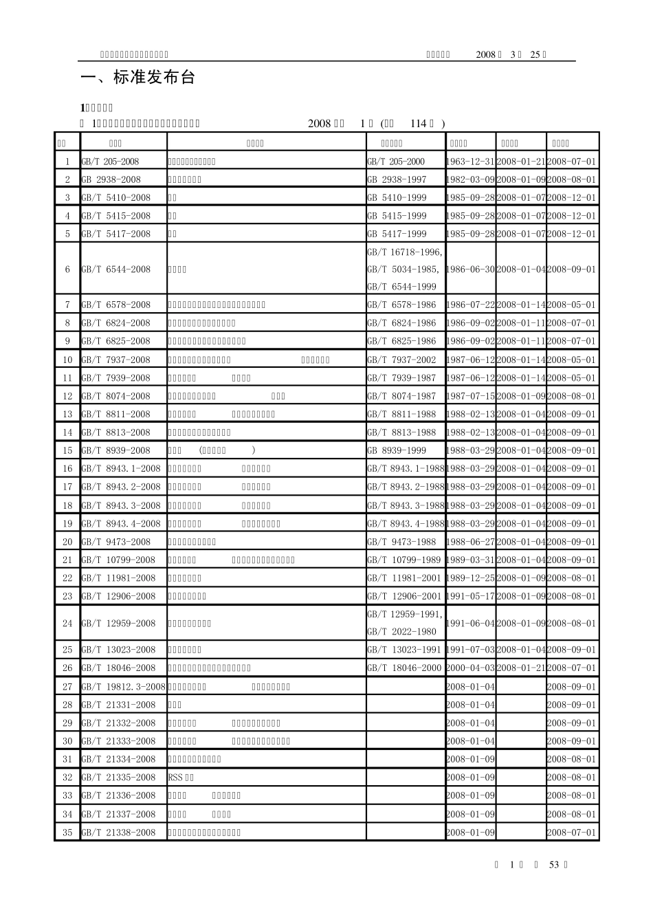
浙江标准馆藏中心标准跟踪信息 2008 年第3 期 (总第62 期 ) 目 录 一、标准发布台 1、 国家标准„„„„„„„„„„„„„„„„„„„„„„„„„„„„„( 1) 2、 行业标准„„„„„„„„„„„„„„„„„„„„„„„„„„„„„( 3) 3、国外标准„„„„„„„„„„„„„„„„„„„„„„„„„„„„„( 22) 二、馆藏动态 1、行业标准„„„„„„„„„„„„„„„„„„„„„„„„„„„„„( 48) 2、日本标准„„„„„„„„„„„„„„„„„„„„„„„„„„„„„( 50) 三、标准论坛 1、 钢贸商关注钢筋新标准公布实施„„„„„„„„„„„„„„„„„( 52) ①、信息发布员: 批准人: ②、本信息传递到:标准研究中心、标准服务中心、网络中心 浙江标准馆藏中心标准跟踪信息 发布日期:2 0 0 8 年 3 月 2 5 日 第 1 页 共 5 3 页 一、标准发布台 1 、国家标准 ( 1 )中华人民共和国国家标准批准发布公告2 0 0 8 年第1 号 (总第114 号 ) 序号 标准号 标准名称 代替标准号 批准日期 修订日期 实施日期 1 GB/T 205-2008 铝酸盐水泥化学分析方法 GB/T 205-2000 1963-12-31 2008-01-21 2008-07-01 2 GB 2938-2008 低热微膨胀水泥 GB 2938-1997 1982-03-09 2008-01-09 2008-08-01 3 GB/T 5410-2008 乳粉 GB 5410-1999 1985-09-28 2008-01-07 2008-12-01 4 GB/T 5415-2008 奶油 GB 5415-1999 1985-09-28 2008-01-07 2008-12-01 5 GB/T 5417-2008 炼乳 GB 5417-1999 1985-09-28 2008-01-07 2008-12-01 6 GB/T 6544-2008 瓦楞纸板 GB/T 16718-1996, GB/T 5034-1985, GB/T 6544-1999 1986-06-30 2008-01-04 2008-09-01 7 GB/T 6578-2008 液压缸活塞杆用防尘圈沟槽型式、尺寸和公差 GB/T 6578-1986 1986-07-22 2008-01-14 2008-05-01 8 GB/T 6824-2008 船底防污漆铜离子渗出率测定法 GB/T 6824-1986 1986-09-02 2008-01-11 2008-07-01 9 GB/T 6825-2008 船底防污漆有机锡单体渗出率测定法 GB/T 6825-1986 1986-09-02 2008-01-11 2008-07-01 10 GB/T 7937-2008 液压气动管接头及其相关元件 公称压力系列 GB/T 7937-2002 1987-06-12 2008-01-14 2008-05-01 11 GB/T 7939-2008 液压软管总成 试验方法 GB/T 7939-1987 1987-06-12 ...

1、当您付费下载文档后,您只拥有了使用权限,并不意味着购买了版权,文档只能用于自身使用,不得用于其他商业用途(如 [转卖]进行直接盈利或[编辑后售卖]进行间接盈利)。
2、本站所有内容均由合作方或网友上传,本站不对文档的完整性、权威性及其观点立场正确性做任何保证或承诺!文档内容仅供研究参考,付费前请自行鉴别。
3、如文档内容存在违规,或者侵犯商业秘密、侵犯著作权等,请点击“违规举报”。

碎片内容

标准跟踪信息

确认删除?
VIP
微信客服
  • 扫码咨询
会员Q群
  • 会员专属群点击这里加入QQ群
客服邮箱
回到顶部