电脑桌面
添加小米粒文库到电脑桌面
安装后可以在桌面快捷访问

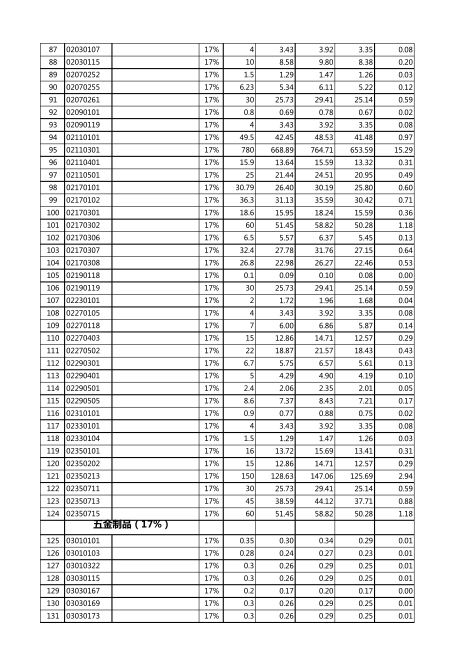
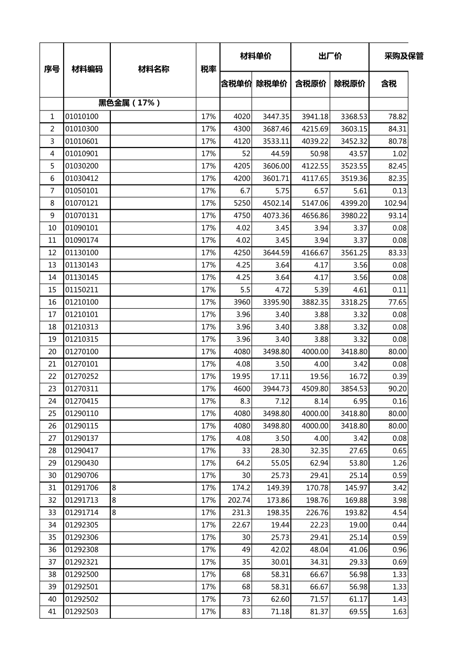
江苏省现行专业计价定额材料含税价与除税价表

江苏省现行专业计价定额材料含税价与除税价表_第1页
1/58
江苏省现行专业计价定额材料含税价与除税价表_第2页
2/58
江苏省现行专业计价定额材料含税价与除税价表_第3页
3/58
含 税 单 价 除税 单 价含 税 原价除税 原价含 税101010100钢筋17%40203447.353941.183368.5378.82201010300冷轧带肋钢筋17%43003687.464215.693603.1584.31301010601冷轧扭钢筋17%41203533.114039.223452.3280.78401010901螺旋筋17%5244.5950.9843.571.02501030200冷拔钢丝17%42053606.004122.553523.5582.45601030412碳素钢丝17%42003601.714117.653519.3682.35701050101钢丝绳17%6.75.756.575.610.13801070121无粘结钢绞线17%52504502.145147.064399.20102.94901070131有粘结钢绞线17%47504073.364656.863980.2293.141001090101圆钢17%4.023.453.943.370.081101090174圆钢17%4.023.453.943.370.081201130100扁钢17%42503644.594166.673561.2583.331301130143扁钢-17%4.253.644.173.560.081401130145扁钢-17%4.253.644.173.560.081501150211六角空心钢17%5.54.725.394.610.111601210100角钢17%39603395.903882.353318.2577.651701210101角钢17%3.963.403.883.320.081801210313等边角钢17%3.963.403.883.320.081901210315等边角钢17%3.963.403.883.320.082001270100型钢17%40803498.804000.003418.8080.002101270101型钢17%4.083.504.003.420.082201270252Z形支撑17%19.9517.1119.5616.720.392301270311C、Z轻钢17%46003944.734509.803854.5390.202401270415槽型彩钢条17%8.37.128.146.950.162501290110钢板17%40803498.804000.003418.8080.002601290115钢板17%40803498.804000.003418.8080.002701290137钢板17%4.083.504.003.420.082801290417热镀锌钢板17%3328.3032.3527.650.652901290430热镀锌钢板17%64.255.0562.9453.801.263001290706冷轧钢板17%3025.7329.4125.140.5931012917068K不锈钢镜面板17%174.2149.39170.78145.973.4232012917138K不锈钢镜面板17%202.74173.86198.76169.883.9833012917148K不锈钢镜面板17%231.3198.35226.76193.824.543401292305彩钢板17%22.6719.4422.2319.000.443501292306彩钢板17%3025.7329.4125.140.593601292308单层彩板17%4942.0248.0441.060.963701292321压型彩钢楼板17%3530.0134.3129.330.693801292500彩钢夹芯板17%6858.3166.6756.981.333901292501彩钢夹芯板17%6858.3166.6756.981.334001292502彩钢夹芯板17%7362.6071.5761.171.434101292503彩钢夹芯板17%8371.1881.3769.551.63黑色金属(17%)税 率材料单 价出厂价采购及保管序号材料编码材料名称4201292505彩钢夹芯板(EPS芯材) 17%6858...

1、当您付费下载文档后,您只拥有了使用权限,并不意味着购买了版权,文档只能用于自身使用,不得用于其他商业用途(如 [转卖]进行直接盈利或[编辑后售卖]进行间接盈利)。
2、本站所有内容均由合作方或网友上传,本站不对文档的完整性、权威性及其观点立场正确性做任何保证或承诺!文档内容仅供研究参考,付费前请自行鉴别。
3、如文档内容存在违规,或者侵犯商业秘密、侵犯著作权等,请点击“违规举报”。

碎片内容

江苏省现行专业计价定额材料含税价与除税价表

您可能关注的文档

确认删除?
VIP
微信客服
  • 扫码咨询
会员Q群
  • 会员专属群点击这里加入QQ群
客服邮箱
回到顶部