电脑桌面
添加小米粒文库到电脑桌面
安装后可以在桌面快捷访问

江阴市小学语文教学基本功大比武教学设计评比结果

江阴市小学语文教学基本功大比武教学设计评比结果_第1页
1/7
江阴市小学语文教学基本功大比武教学设计评比结果_第2页
2/7
江阴市小学语文教学基本功大比武教学设计评比结果_第3页
3/7
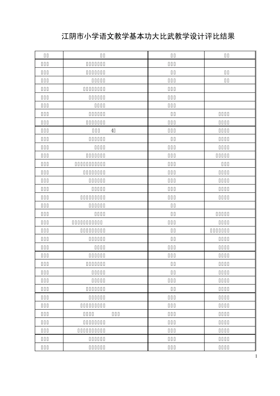
1 江阴市小学语文教学基本功大比武教学设计评比结果 等级 题目 姓名 学校 一等奖 《秋姑娘的信》 翟海珍 一等奖 《鲁班与橹板》 何红 要塞 一等奖 《放小鸟》 施娟芬 城中 一等奖 《小松鼠找花生》 周红艳 一等奖 《这儿真好》 陈玲娣 一等奖 《雨点》 徐菁苓 一等奖 《青蛙看海》 赵燕 华士实验 一等奖 《朱德的扁担》 钱军伟 西郊实小 一等奖 《识字4》 陈燕君 峭岐实小 一等奖 《乡下孩子》 曹铭 华士实验 一等奖 《鸟岛》 王苏亚 云亭实小 一等奖 《梅兰芳学艺》 花红梅 北大街小学 一等奖 《真想变成大大的荷叶》 王惠英 二实小 一等奖 《台湾的蝴蝶谷》 耿宇红 南闸中心 一等奖 《沉香救母》 施燕萍 周庄实小 一等奖 《蒲公英》 黄雅红 辅延中心 一等奖 《每逢佳节倍思亲》 黄仲华 山观实小 一等奖 《卧薪尝胆》 钱炜 一等奖 《金子》 季芬 西石桥中心 一等奖 《我应该感到自豪才对》 杨凤鸣 西郊实小 一等奖 《跟踪台风的卫星》 马莉 华士实验国际部 一等奖 《开天辟地》 傅红 实验小学 一等奖 《春联》 杜文鹏 月城实小 一等奖 《学会赞美》 周琴霞 要塞实小 一等奖 《小镇的早晨》 张鸣 城中实小 一等奖 《九寨沟》 吴艳 要塞实小 一等奖 《快手刘》 刘春芳 月城实小 一等奖 《天鹅的故事》 刘红 要塞实小 一等奖 《番茄太阳》 王丽萍 西郊实小 一等奖 《装满昆虫的衣袋》 潘雅蘋 花园实小 一等奖 《清平乐 村居》 费敏伟 西郊实小 一等奖 《给予是快乐的》 盛燕萍 实验小学 一等奖 《厄运打不垮的信念》 陈允利 长寿实小 一等奖 《嫦娥奔月》 黄良珍 南闸中心 一等奖 《月光启蒙》 夏晓臻 要塞实小 2 一等奖 《天游峰的扫路人》 徐英 城中实小 一等奖 《爷爷的芦笛》 吴雪霞 城中实小 一等奖 《哲学家的最后一课》 陈郁云 实验小学 一等奖 《夹竹桃》 陈剑侠 实验小学 一等奖 《西江月》 汤雅 申港中心 一等奖 《孔子游春》 居利锋 南闸中心 一等奖 《滴水穿石的启示》 鞠汉伟 利港实小 一等奖 《碧螺春》 孙金兰 月城实小 一等奖 《拉萨的天空》 高玉华 辅延中心 二等奖 《家》 周萍 辅延中心 二等奖 《北风与小鱼》 杨芳 二等奖 《小池塘》 张惠芬 二等奖 《识字5》 赵新宇 二等奖 《秋姑娘的信》 黄岚 大桥小学 二等奖 《...

1、当您付费下载文档后,您只拥有了使用权限,并不意味着购买了版权,文档只能用于自身使用,不得用于其他商业用途(如 [转卖]进行直接盈利或[编辑后售卖]进行间接盈利)。
2、本站所有内容均由合作方或网友上传,本站不对文档的完整性、权威性及其观点立场正确性做任何保证或承诺!文档内容仅供研究参考,付费前请自行鉴别。
3、如文档内容存在违规,或者侵犯商业秘密、侵犯著作权等,请点击“违规举报”。

碎片内容

江阴市小学语文教学基本功大比武教学设计评比结果

确认删除?
VIP
微信客服
  • 扫码咨询
会员Q群
  • 会员专属群点击这里加入QQ群
客服邮箱
回到顶部