电脑桌面
添加小米粒文库到电脑桌面
安装后可以在桌面快捷访问

沃尔玛最新消防安全准则VIP专享

沃尔玛最新消防安全准则_第1页
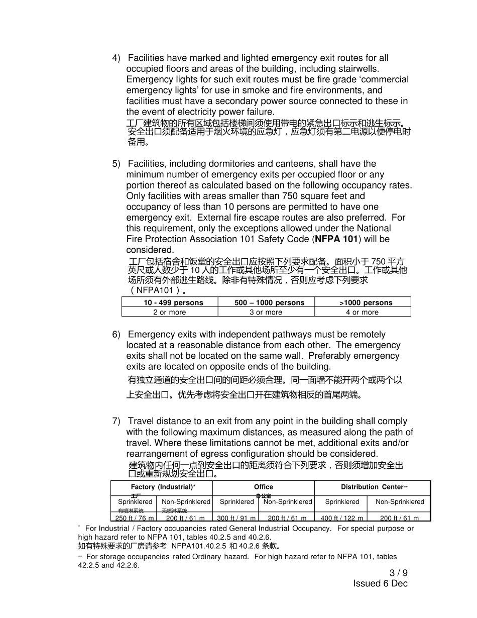
1/9
沃尔玛最新消防安全准则_第2页
2/9
沃尔玛最新消防安全准则_第3页
3/9
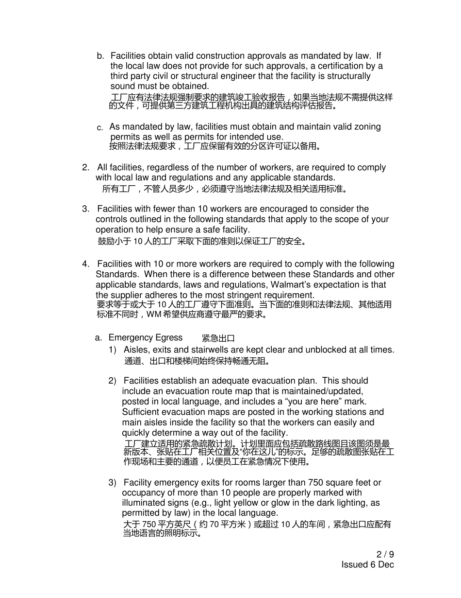
1 / 9 Issued 6 Dec Walmart Standards for Suppliers 沃 尔 玛 供应商准则 Section 7. Health and Safety 第 7 部 分 健 康 和 安 全 Suppliers must provide workers with a safe and healthy work environment. Suppliers must take proactive measures to prevent or manage workplace hazards. 供 应 商 应 给 员 工 提 供 安 全 、健 康 的工 作环境,供 应 商 必须采取预防性措施预防和 控制工 作场所的危害。 The work environment must be safe, clean, and orderly to ensure there are no unreasonable or uncontrolled risks to the health and safety of all workers. Suppliers must implement procedures and safeguards to prevent accidents and injuries to workers; procedures and safeguards include, but are not limited to, inspection of buildings (this should include inspection of emergency lighting and alarm systems), machinery, and fire equipment. Standardized health and safety training shall be provided for all new or reassigned workers and management, and the provision of this training shall be documented. The responsibility for ensuring health and safety in the workplace should be assigned to a facility management representative. Adequate and appropriate personal protective equipment and clothing must be provided to all workers, particularly those handling hazardous materials, based on the risk assessment evaluation. 工 作环境必须安 全 、清洁和 有序以保证员 工 的健 康 和 安 全 。供 应 商 必须执行安 全 措施预防员 工 遭受伤害;安 全 文件和 安 全 措施包括但不限于:建筑物的检查(包括应 急灯和 报警系统)、机器设备和 消防设备。培训新进员 工 、安 全 责任人和 管理人员 健 康 和 安 全 知识并保存培训记录。工 厂应 有安 全 和 健 康 管理代表。在岗位风险评估的基础上,相关工 序的员 工 应 配有劳保用品,特别是和 危险物品有关的工 序。 Suppliers shall comply wi...

1、当您付费下载文档后,您只拥有了使用权限,并不意味着购买了版权,文档只能用于自身使用,不得用于其他商业用途(如 [转卖]进行直接盈利或[编辑后售卖]进行间接盈利)。
2、本站所有内容均由合作方或网友上传,本站不对文档的完整性、权威性及其观点立场正确性做任何保证或承诺!文档内容仅供研究参考,付费前请自行鉴别。
3、如文档内容存在违规,或者侵犯商业秘密、侵犯著作权等,请点击“违规举报”。

碎片内容

沃尔玛最新消防安全准则

确认删除?
VIP
微信客服
  • 扫码咨询
会员Q群
  • 会员专属群点击这里加入QQ群
客服邮箱
回到顶部