电脑桌面
添加小米粒文库到电脑桌面
安装后可以在桌面快捷访问

2025年120道分式化简求值练习题库

2025年120道分式化简求值练习题库_第1页
1/25
2025年120道分式化简求值练习题库_第2页
2/25
2025年120道分式化简求值练习题库_第3页
3/25
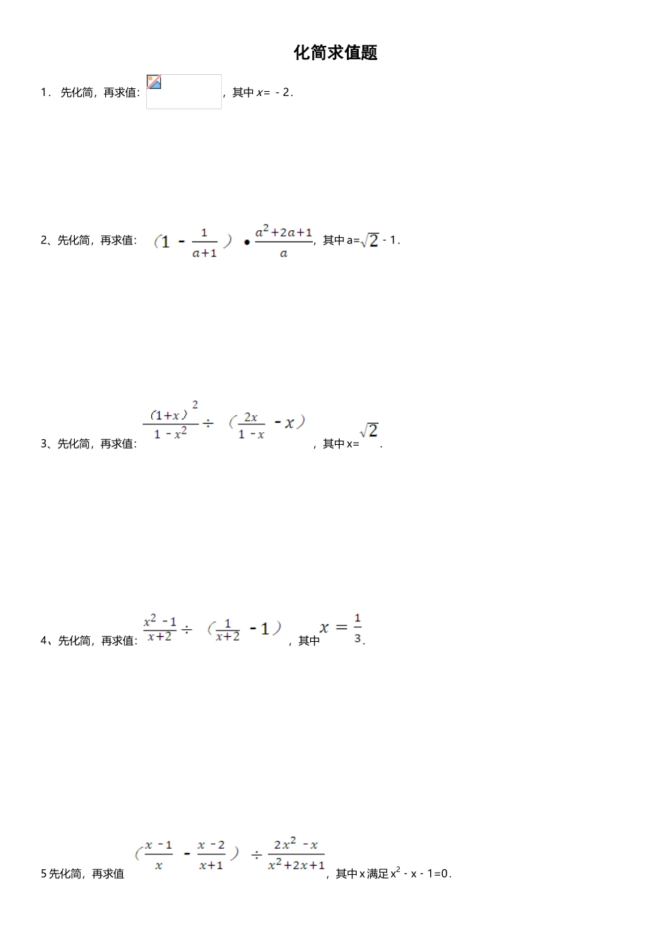
化简求值题1. 先化简,再求值:,其中 x=-2.2、先化简,再求值:,其中 a=﹣1.3、先化简,再求值:,其中 x=.4、先化简,再求值:,其中.5 先化简,再求值,其中 x 满足 x2﹣x﹣1=0.6、化简:7、先化简,再求值:,其中 a=.8、先化简,再从﹣1、0、1 三个数中,选择一种你认为合适的数作为 x 的值代入求值.9、先化简,再求值:(+1)÷,其中 x=2.11、先化简下列式子,再从 2,﹣2,1,0,﹣1 中选择一种合适的数进行计算..12、先化简,再求值:(-2),其中 x=2.13、先化简,再求值:,其中.14、先化简,然后从不等组的解集中,选用一种你认为符合题意的 x 的值代入求值.15、先化简,再求值:,其中.16、先化简,再求值:,其中.17 先化简。再求值: ,其中。19. 先化简再计算:,其中 x 是一元二次方程的正数根.20 化简,求值: ) ,其中 m=.21、(1)化简:÷. (2)化简:22、先化简,再求值:,其中.23 请你先化简分式24、(本小题 8 分)先化简再求值其中 a=+125、化简,其成果是.26.先化简,再求值:(-2)÷,其中 x=-4.27、 先化简,再求值:÷-,其中 x=2.28、先化简,再求值:,其中.29.先化简,再求值:,其中30、先化简,再求值:,其中31、(1)化简:. (2) (3) 32.(1)。 (2)计算33 先化简,再求值:,其中.34 化简:. 35.先化简,再求值:,其中.36、.先化简-,再选一种合适的值代入求值.39.当时,求的值.40 先化简,再把 取一种你最喜欢的数代入求值:41.先化简,再选择一种你喜欢的数代入求值。÷(+1)42、先化简,再求值:,其中.43、先化简:()÷.再从 1,2,3 中选一种你认为合适的数作为 a 的值代入求值.44、先化简,再求值.(x+1)2+x(x﹣2).其中.45、先化简,再求值,(+)÷,其中 x=2.46.先将代数式化简,再从-1,1 两数中选用一种合适的数作为 x 的值代入求值.47、先化简再求值:,其中 x=﹣1.48.先化简,再求值:,其中 x=3.49.先化简,再求值:,其中50、先化简分式:(a﹣)÷•,再从﹣3、﹣3、2、﹣2 中选一种你喜欢的数作为 a 的值代入求值.51、先化简,再求值:,其中 x 所取的值是在﹣2<x≤3 内的一种整数.52、先化简,再求值:÷(2x — )其中,x=+1 53、先化简,再求值:(1﹣)÷,其中54、先化简, 再求代数式的值,其中,x=5 55.已知、满足方程组,先将化简,再求56.先化...

1、当您付费下载文档后,您只拥有了使用权限,并不意味着购买了版权,文档只能用于自身使用,不得用于其他商业用途(如 [转卖]进行直接盈利或[编辑后售卖]进行间接盈利)。
2、本站所有内容均由合作方或网友上传,本站不对文档的完整性、权威性及其观点立场正确性做任何保证或承诺!文档内容仅供研究参考,付费前请自行鉴别。
3、如文档内容存在违规,或者侵犯商业秘密、侵犯著作权等,请点击“违规举报”。

碎片内容

2025年120道分式化简求值练习题库

您可能关注的文档

确认删除?
VIP
微信客服
  • 扫码咨询
会员Q群
  • 会员专属群点击这里加入QQ群
客服邮箱
回到顶部