电脑桌面
添加小米粒文库到电脑桌面
安装后可以在桌面快捷访问

电子科技大学微积分试题及答案

电子科技大学微积分试题及答案_第1页
1/7
电子科技大学微积分试题及答案_第2页
2/7
电子科技大学微积分试题及答案_第3页
3/7
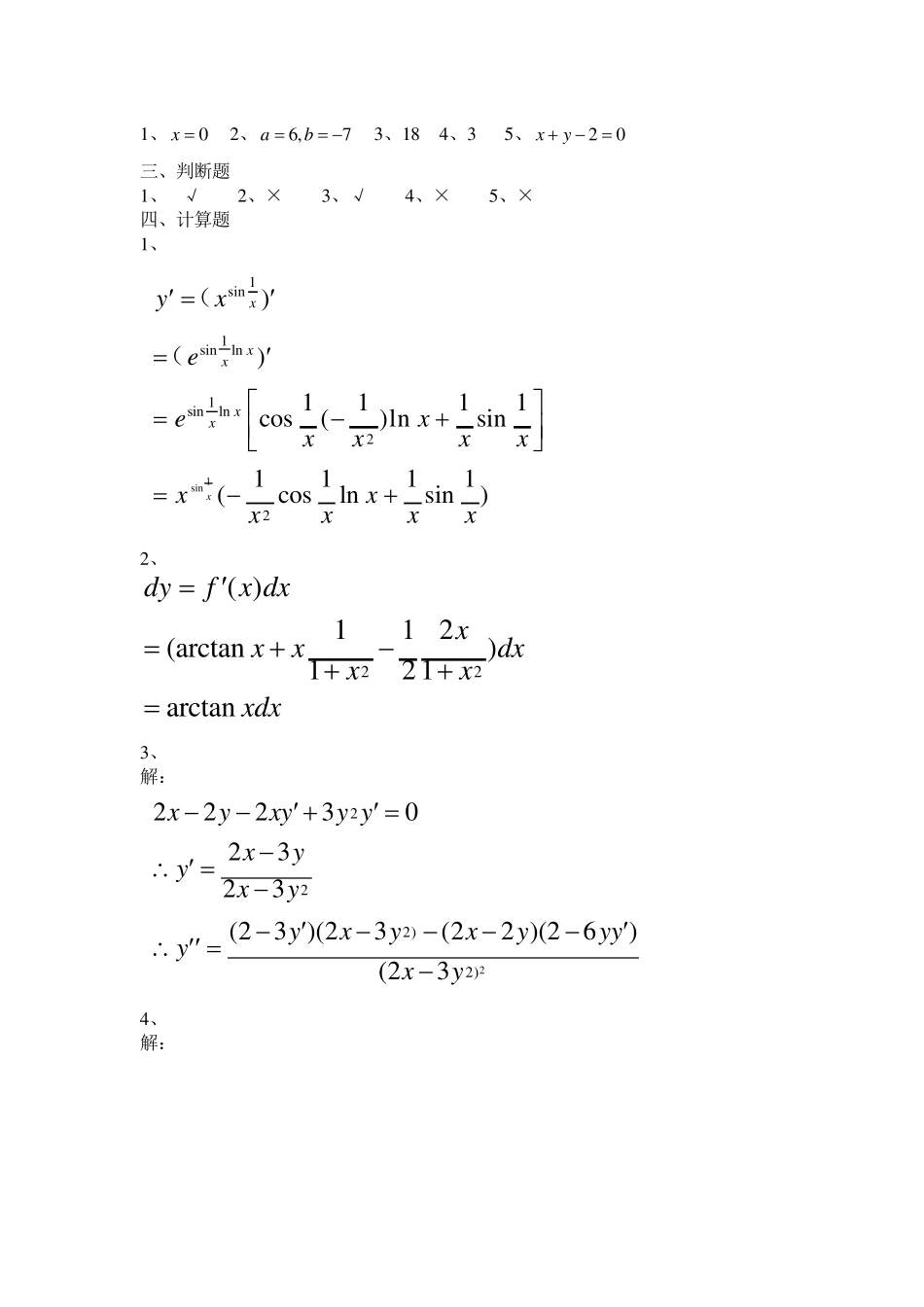
电子科技大学期末微积分 一、选择题(每题 2 分) 1、设x  定义域为(1,2),则lg x的定义域为() A、(0,lg2) B、(0,lg2  C、(10,100) D、(1,2) 2、x=-1 是函数x  = 221xxx x的() A、跳跃间断点 B、可去间断点 C、无穷间断点 D、不是间断点 3、试求024limxxx等于() A、 14 B、0 C、1 D、 4、若1yxxy ,求 y等于() A、 22xyyx B、22yxyx C、 22yxxy D、22xyxy 5、曲线221xyx 的渐近线条数为() A、0 B、1 C、2 D、3 6、下列函数中,那个不是映射() A、2yx (,)xRyR B、221yx  C、2yx D、lnyx (0)x  二、填空题(每题 2 分) 1、211xy=的反函数为 __________ 2、、2(1))lim( )1xnxf xf xnx设 (,则 的间断点为 __________ 3、21lim51xxbxax已知常数 a、b,,则此函数的最大值为 __________ 4、263yxkyxk已知直线 是 的切线,则 __________ 5、ln2111xyyx求曲线 ,在点(,)的法线方程是 __________ 三、判断题(每题 2 分) 1、221xyx 函数是有界函数 ( ) 2、有界函数是收敛数列的充分不必要条件 ( ) 3、lim   若,就说 是比 低阶的无穷小 ( ) 4、可导函数的极值点未必是它的驻点 ( ) 5、曲线上凹弧与凸弧的分界点称为拐点 ( ) 四、计算题(每题 6 分) 1、1sin xyx求函数 的导数 2、21( )arctanln(12f xxxxdy已知),求 3、2326xx yyyxy已知,确定 是 的函数,求 4、20tansinlimsinxxxxx求 5、31)dxxx计算( 6、210lim(cos ) xxx计算 五、应用题 1、设某企业在生产一种商品 x 件时的总收益为2)100R xxx(,总成本函数为2( )20050C xxx,问政府对每件商品征收货物税为多少时,在企业获得利润最大的情况下,总税额最大?(8 分) 2、描绘函数21yxx的图形(12 分) 六、证明题(每题 6 分) 1、用极限的定义证明:设01lim( ),lim( )xxf xAfAx则 2、证明方程10,1xx e  在区间()内有且仅有一个实数 一、 选择题 1、C 2、C 3、A 4、B 5、D 6、B 二、填空题 1、0x  2、6,7ab  3、18 4、3 5、20xy 三、判断题 1、√ 2、× 3、√ 4、× 5、×...

1、当您付费下载文档后,您只拥有了使用权限,并不意味着购买了版权,文档只能用于自身使用,不得用于其他商业用途(如 [转卖]进行直接盈利或[编辑后售卖]进行间接盈利)。
2、本站所有内容均由合作方或网友上传,本站不对文档的完整性、权威性及其观点立场正确性做任何保证或承诺!文档内容仅供研究参考,付费前请自行鉴别。
3、如文档内容存在违规,或者侵犯商业秘密、侵犯著作权等,请点击“违规举报”。

碎片内容

电子科技大学微积分试题及答案

确认删除?
VIP
微信客服
  • 扫码咨询
会员Q群
  • 会员专属群点击这里加入QQ群
客服邮箱
回到顶部