电脑桌面
添加小米粒文库到电脑桌面
安装后可以在桌面快捷访问

电气定额(拆除)VIP专享

电气定额(拆除)_第1页
1/36
电气定额(拆除)_第2页
2/36
电气定额(拆除)_第3页
3/36
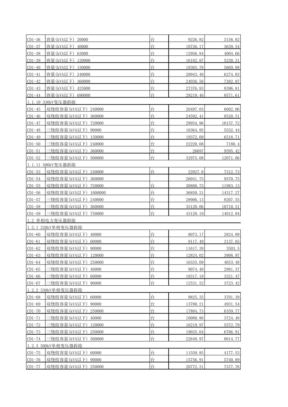
除工程预算定额(第一册 电气)定额号项 目 名 称单 位 基 价 (元) 其 中 (元) 人 工 费第1章 变压器1.1 三相电力变压器拆除1.1.1 10kV变压器拆除CD1-1 容量(kVA以下) 250台 287.67147.84CD1-2 容量(kVA以下) 500台 360.28184.28CD1-3 容量(kVA以下) 1000台 559.85305.67CD1-4 容量(kVA以下) 2000台 713.62391.68CD1-5 容量(kVA以下) 4000台 1084.57690.69CD1-6 容量(kVA以下) 8000台 2266.591042.61.1.2 10kV干式变压器拆除CD1-7 容量(kVA以下) 250台 188.74131.72CD1-8 容量(kVA以下) 500台 251.1194.08CD1-9 容量(kVA以下) 1000台 449.8256.44CD1-10 容量(kVA以下) 2000台 562.63302.34CD1-11 容量(kVA以下) 4000台 967.33533.92CD1-12 容量(kVA以下) 8000台 1361.01780.91.1.3 35kV变压器拆除CD1-13 容量(kVA以下) 2000台 903.15412.33CD1-14 容量(kVA以下) 4000台 1438.71766.68CD1-15 容量(kVA以下) 8000台 2849.331330.62CD1-16 容量(kVA以下) 16000台 3707.681654.05CD1-17 容量(kVA以下) 40000台 5233.512390.681.1.4 110kV双绕组变压器拆除CD1-18 容量(kVA以下) 10000台 3866.671738.01CD1-19 容量(kVA以下) 25000台 5517.332158.81CD1-20 容量(kVA以下) 63000台 7248.212665.95CD1-21 容量(kVA以下) 120000台 9443.363573.981.1.5 110kV三绕组变压器拆除CD1-22 容量(kVA以下) 10000台 5956.042062.59CD1-23 容量(kVA以下) 25000台 7640.82538.73CD1-24 容量(kVA以下) 63000台 9888.53129.22CD1-25 容量(kVA以下) 120000台 12917.144214.71.1.8 220kV双绕组变压器拆除CD1-26 容量(kVA以下) 20000台 8625.612736.09CD1-27 容量(kVA以下) 40000台 10054.23172.75CD1-28 容量(kVA以下) 63000台 10853.833437.07CD1-29 容量(kVA以下) 120000台 15747.634213.11CD1-30 容量(kVA以下) 180000台 17429.685048.2CD1-31 容量(kVA以下) 260000台 20399.445613.67CD1-32 容量(kVA以下) 360000台 23307.646149.01CD1-33 容量(kVA以下) 425000台 26770.666993.26CD1-34 容量(kVA以下) 690000台 29453.847893.53CD1-35 容量(kVA以下) 720000台 30450.618272.581.1.9 220kV三绕组变压器拆除CD1-36 容量(kVA以下) 20000台 9226.823158.82CD1-37 容量(kVA以下) 40000台 10726.173639.54CD1-38 容量(kVA以下) 6...

1、当您付费下载文档后,您只拥有了使用权限,并不意味着购买了版权,文档只能用于自身使用,不得用于其他商业用途(如 [转卖]进行直接盈利或[编辑后售卖]进行间接盈利)。
2、本站所有内容均由合作方或网友上传,本站不对文档的完整性、权威性及其观点立场正确性做任何保证或承诺!文档内容仅供研究参考,付费前请自行鉴别。
3、如文档内容存在违规,或者侵犯商业秘密、侵犯著作权等,请点击“违规举报”。

碎片内容

电气定额(拆除)

小辰9+ 关注
实名认证
内容提供者

出售各种资料和文档

确认删除?
VIP
微信客服
  • 扫码咨询
会员Q群
  • 会员专属群点击这里加入QQ群
客服邮箱
回到顶部