电脑桌面
添加小米粒文库到电脑桌面
安装后可以在桌面快捷访问

离散数学及算法课后习题作业答案

离散数学及算法课后习题作业答案_第1页
1/47
离散数学及算法课后习题作业答案_第2页
2/47
离散数学及算法课后习题作业答案_第3页
3/47
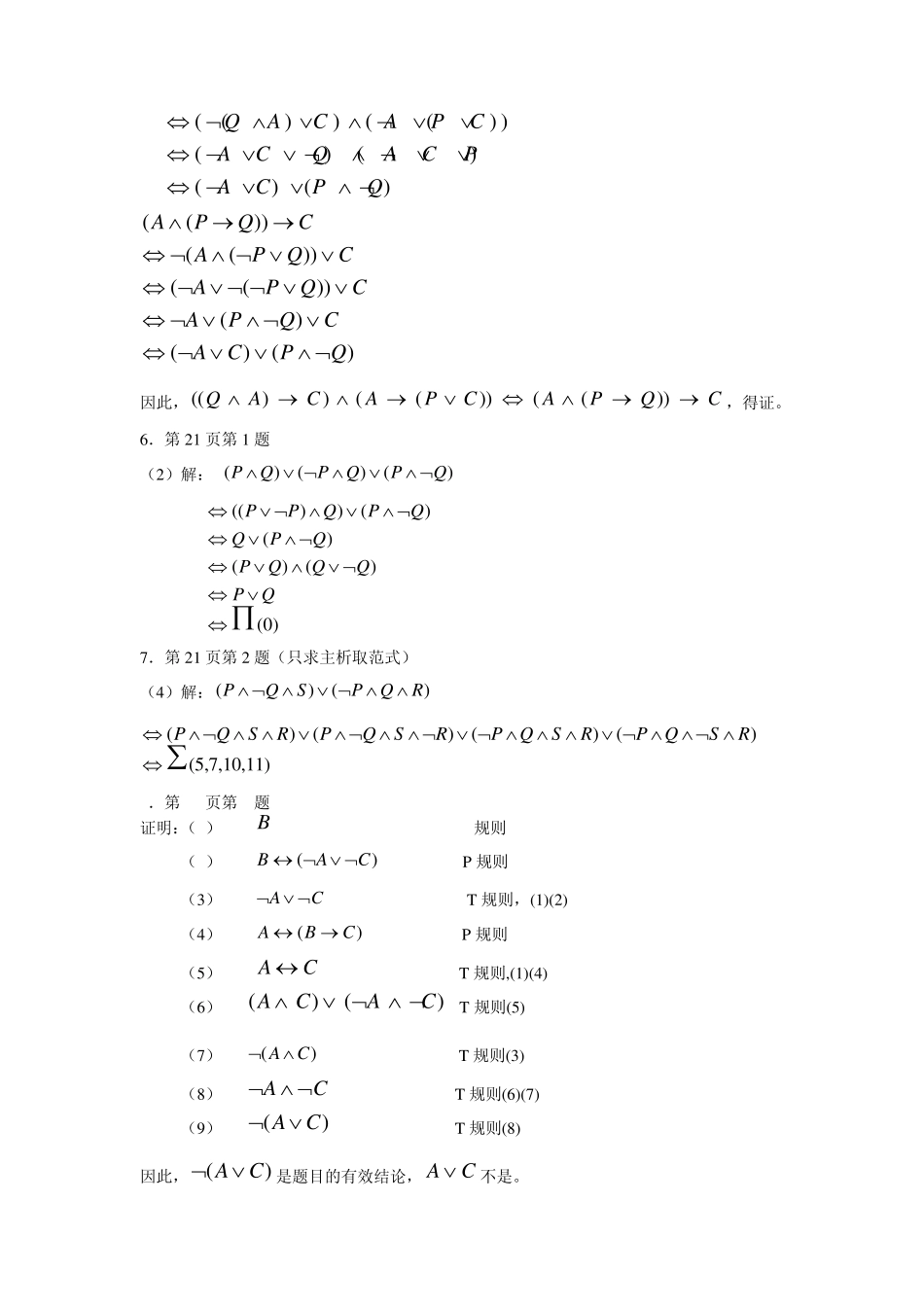
离散数学及算法(曹晓东,原旭版) 课后作业题答案 第一章 命题逻辑 1.第7 页第3 题 (1)解:逆命题:如果我去公园,则天不下雨; 反命题:如果天下雨,则我不去公园; 逆反命题:如果我不去公园,则天下雨了。 (2)解:(此题注意:P 仅当 Q 翻译成PQ) 逆命题:如果你去,那么我逗留。 反命题:如果我不逗留,那么你没去。 逆反命题:如果你没去,那么我不逗留。 (3)解:逆命题:如果方程nnnxyz无整数解,那么 n是大于 2 的正整数。 反命题:如果n不是大于 2 的正整数,那么方程nnnxyz有整数解。 逆反命题:如果方程nnnxyz有整数解,那么 n不是大于 2 的正整数。 (4)解:逆命题:如果我不完成任务,那么我不获得更多的帮助。 反命题:如果我获得了更多的帮助,那么我能完成任务。 逆反命题:如果我能完成任务,那么我获得了更多的帮助。 2.第15 页第1 题 (4)解:( ())PQPT  ()()PQPQ   ()()PQPQ    (重言式) (9)解:PPQFQT (重言式) (10)解:PQQTQQ (可满足式) 3.第16 页第5 题 (2)证明:( ())PQP   (())()PQPPQPPQPPPQFQF           因此,( ())PQPF  ,得证。 (4)证明:()()PPPP   ()()PPPPPPF     因此,()()PPPPF  ,得证。 4.第 16 页第 6 题 (1) PQPQ 证明:设 PQ为真,那么 P 为真,并且 Q 为真,因此PQ为真。所以 PQPQ。 (2)()()()PQRPQPR 证明:设()()PQPR为假,于是 PQ为真,PR为假。得P为真,Q为真,R 为 假 。 于 是 得QR为 假 ,由 P 为 真 可 得,()PQR为 假 。 因此,()()()PQRPQPR 。得证。 (5)()()PPQPPRQR   证明:()()PPQPPR   ()()TQTRQR 因此,()()PPQPPRQR  ,得证。 5.补充:试证明(())(())(())QACAPCAPQC 证明: (())(())QACAPC (())(() )()()()()QACAPCACQACPACPQ        (())(())(())()()()APQCAPQCAPQCAPQCACPQ ...

1、当您付费下载文档后,您只拥有了使用权限,并不意味着购买了版权,文档只能用于自身使用,不得用于其他商业用途(如 [转卖]进行直接盈利或[编辑后售卖]进行间接盈利)。
2、本站所有内容均由合作方或网友上传,本站不对文档的完整性、权威性及其观点立场正确性做任何保证或承诺!文档内容仅供研究参考,付费前请自行鉴别。
3、如文档内容存在违规,或者侵犯商业秘密、侵犯著作权等,请点击“违规举报”。

碎片内容

离散数学及算法课后习题作业答案

小辰2+ 关注
实名认证
内容提供者

出售各种资料和文档

确认删除?
VIP
微信客服
  • 扫码咨询
会员Q群
  • 会员专属群点击这里加入QQ群
客服邮箱
回到顶部