电脑桌面
添加小米粒文库到电脑桌面
安装后可以在桌面快捷访问

管件采购合同

管件采购合同_第1页
1/4
管件采购合同_第2页
2/4
管件采购合同_第3页
3/4
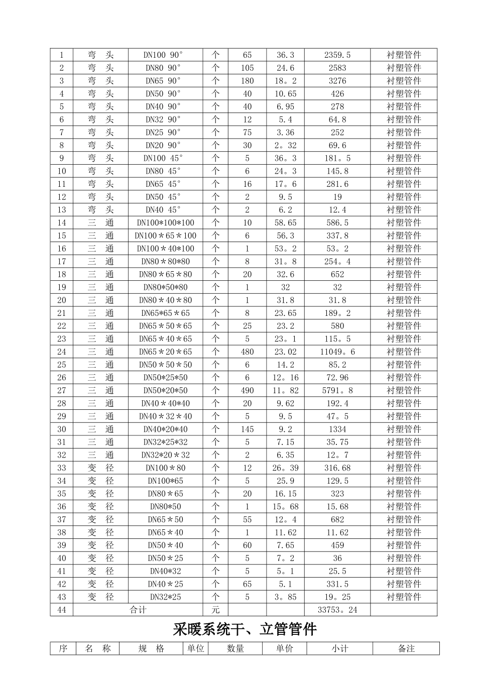
镀锌管件、衬塑管件 产品购销合同供方: 山西隆盛北亿商贸有限公司 合同编号: 需方: 中泽建工集团有限责任公司 签订地点: 一、标的∕商标∕型号∕数量∕金额:见附表产品名称规格单位数量单价(元)金额(元)见附表合计大写:(注:依实际送货数量据实结算)二、质量要求、技术标准、供方对质量负责的条件和期限: 管件符合 GB/T 3287-2000 《 可锻铸 铁管路连接件 》的 要求 。三、交(提)货地点: 中泽苑施工现场 。四、运输方式及到达站港和费用负担: 装车运输及费用由供方承担,卸车及费用由需方承担。五、标的物所有权自付款时转移,但需方未履行支付价款义务的标的物属于供方所有;六、验收标准: 货到施工场地由需方材料部门和技术部门共同验收合格后方可卸车 。七、结算方式及期限: 货到现场经验收合格,供方出具发票后付总价的 95% ,余 5 %的质保金在 安装完毕后经验收合格后,一月内付清余款 。八、供货时间:收到供方通知后 3 日内到货;九、违约责任: 因产品质量引起的一切责任由供方承担 。十、解决合同纠纷的方式:需方所在地人民法院诉讼;十一、其它约定事项:1、 供方必须保证所供材料为合格正品 , 与提供的样品为同一质量等级 。2、 材料招标文件的要求与本合同具有同等效力 。3、 对于验收不合格和安装过程中发现乙方使用不合格产品 , 供方无条件免费于 3 日内更换完毕 , 否 则应承担给需方造成的损失 .供方: 需方:供方代表: 需方代表:开户行: 开户行:帐号: 帐号:传真: 传真:签定日期:20 年 月 日 签定日期:20 年 月 日给水系统干、立管管件序号名 称规 格单位数量单价小计备注1弯 头DN100 90°个6536.32359.5衬塑管件2弯 头DN80 90°个10524.62583衬塑管件3弯 头DN65 90°个18018。23276衬塑管件4弯 头DN50 90°个4010.65426衬塑管件5弯 头DN40 90°个406.95278衬塑管件6弯 头DN32 90°个125.464.8衬塑管件7弯 头DN25 90°个753.36252衬塑管件8弯 头DN20 90°个302。3269.6衬塑管件9弯 头DN100 45°个536。3181。5衬塑管件10弯 头DN80 45°个624。3145.8衬塑管件11弯 头DN65 45°个1617。6281.6衬塑管件12弯 头DN50 45°个29.519衬塑管件13弯 头DN40 45°个26.212.4衬塑管件14三 通DN100*100*100个1058.65586.5衬塑管件15三 通DN100*65*100个656.3337.8衬塑管件16三 通DN100*40*100个153。253。2衬塑管件17三 通D...

1、当您付费下载文档后,您只拥有了使用权限,并不意味着购买了版权,文档只能用于自身使用,不得用于其他商业用途(如 [转卖]进行直接盈利或[编辑后售卖]进行间接盈利)。
2、本站所有内容均由合作方或网友上传,本站不对文档的完整性、权威性及其观点立场正确性做任何保证或承诺!文档内容仅供研究参考,付费前请自行鉴别。
3、如文档内容存在违规,或者侵犯商业秘密、侵犯著作权等,请点击“违规举报”。

碎片内容

管件采购合同

确认删除?
VIP
微信客服
  • 扫码咨询
会员Q群
  • 会员专属群点击这里加入QQ群
客服邮箱
回到顶部