电脑桌面
添加小米粒文库到电脑桌面
安装后可以在桌面快捷访问

考点21-求和方法讲解(解析版)

考点21-求和方法讲解(解析版)_第1页
1/14
考点21-求和方法讲解(解析版)_第2页
2/14
考点21-求和方法讲解(解析版)_第3页
3/14
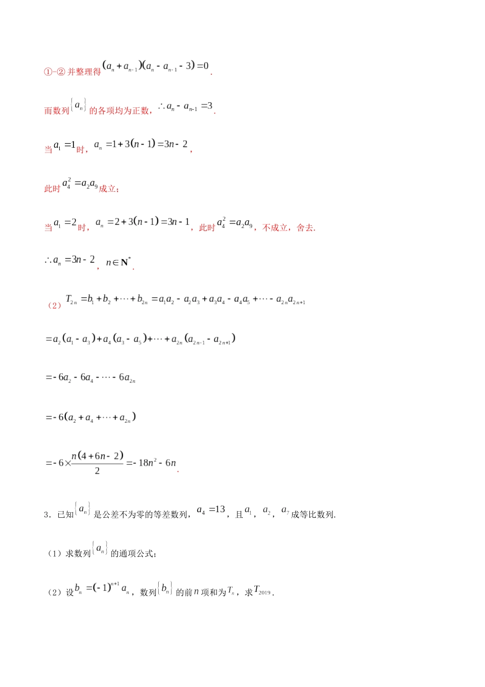
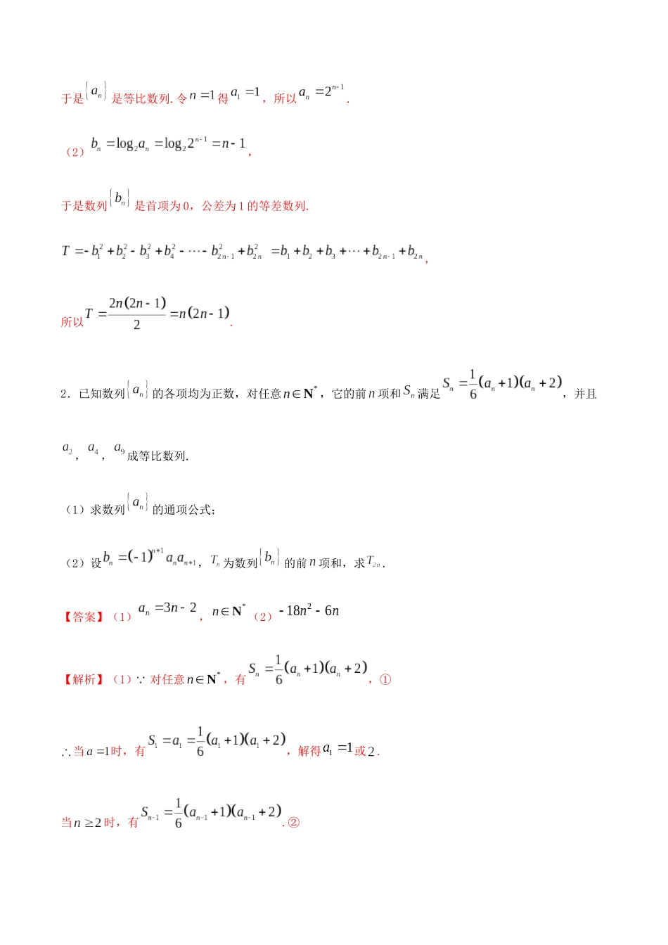
考点 21 求和方法(第二课时)【思维导图】【常见考法】考点一:奇偶并项求和1.已知数列的前项和是,且.(1)求数列的通项公式;(2)令,求数列前项的和.【答案】(1) ;(2).【解析】(1)由得,于是是等比数列.令得,所以.(2),于是数列是首项为 0,公差为 1 的等差数列. ,所以.2.已知数列的各项均为正数,对任意,它的前项和满足,并且,,成等比数列.(1)求数列的通项公式;(2)设,为数列的前项和,求.【答案】(1),(2)【解析】(1)对任意,有,①当时,有,解得或.当时,有.②①-② 并整理得.而数列的各项均为正数,.当时,,此时成立;当时,,此时,不成立,舍去.,.(2).3.已知是公差不为零的等差数列,,且,,成等比数列.(1)求数列的通项公式;(2)设,数列的前项和为,求.【答案】(1)(2)【解析】(1)设的公差为,因为,,成等比数列,所以,可得,,得,又,可得,,所以.(2),.4.已知数列的前项和,.(1)求数列的通项公式;(2)若,求数列的前项和.【答案】(1),(2)【解析】(1)由,当时,,当时,,而,所以数列的通项公式,.(2)由(1)可得,当为偶数时,,当为奇数时,为偶数,.综上,.考点二:倒序相加法1.已知函数(),正项等比数列满足,则 。 【答案】【解析】因为函数(),正项等比数列满足,则。2.若函数,则______.【答案】【解析】因为,所以,因此;记,则,因此.故答案为:3.已知函数,则 _________;【答案】【解析】,设 ①则 ②①+② 得,.故答案为 2024.4.设函数,定义,其中,则 。【答案】【解析】,因为,所以.两式相加可得:,.故选 C.5.已知是上的奇函数,,则数列的通项公式为 。【答案】【解析】由题已知是上的奇函数故,代入得: ∴函数关于点对称,令,则,得到. , 倒序相加可得,即 考法三:其他方法1.为等差数列的前 n 项和,且记,其中表示不超过 x 的最大整数,如.(Ⅰ)求;(Ⅱ)求数列的前 1000 项和.【答案】(Ⅰ)(Ⅱ)1893.【解析】(Ⅰ)设的公差为,据已知有,解得所以的通项公式为(Ⅱ)因为所以数列的前项和为2.已知首项为 3 的数列的前 n 项和为,且.(1)求数列的通项公式;(2)求证:成等差数列.【答案】(1);(2)见解析【解析】(1)因为,故,,,,…,,,把上面个等式叠加,得到,故,而,故.(2)由(1)可得,,故,,所以,故成等差数列.3.设公差不为 0 的等差数列的首项为 1,且,,构成等比数列.求数列...

1、当您付费下载文档后,您只拥有了使用权限,并不意味着购买了版权,文档只能用于自身使用,不得用于其他商业用途(如 [转卖]进行直接盈利或[编辑后售卖]进行间接盈利)。
2、本站所有内容均由合作方或网友上传,本站不对文档的完整性、权威性及其观点立场正确性做任何保证或承诺!文档内容仅供研究参考,付费前请自行鉴别。
3、如文档内容存在违规,或者侵犯商业秘密、侵犯著作权等,请点击“违规举报”。

碎片内容

考点21-求和方法讲解(解析版)

领读文化+ 关注
实名认证
内容提供者

传播文化,铸就未来

确认删除?
VIP
微信客服
  • 扫码咨询
会员Q群
  • 会员专属群点击这里加入QQ群
客服邮箱
回到顶部