电脑桌面
添加小米粒文库到电脑桌面
安装后可以在桌面快捷访问

广东省深圳市福田区2011年高三数学冲刺阶段解答题训练题集5 数列部分素材

广东省深圳市福田区2011年高三数学冲刺阶段解答题训练题集5 数列部分素材_第1页
1/30
广东省深圳市福田区2011年高三数学冲刺阶段解答题训练题集5 数列部分素材_第2页
2/30
广东省深圳市福田区2011年高三数学冲刺阶段解答题训练题集5 数列部分素材_第3页
3/30
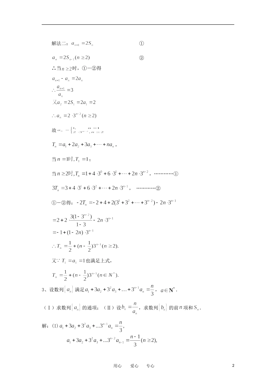
福田区 2011 年高三冲刺阶段解答题训练题集 5——数列部分(福田中学提供)一、理科数列解答题及参考答案1、已知实数列等比数列,其中成等差数列.(Ⅰ)求数列的通项公式;(Ⅱ)数列的前 项和记为证明: <128…).1、解:(Ⅰ)设等比数列的公比为,由,得,从而,,.因为成等差数列,所以,即,.所以.故.(Ⅱ).2.(本小题满分 12 分) 数列 (I)求数列;(II)求数列解:(I)解法一:, 当, 用心 爱心 专心1 解法二:① ② ∴当时,①-②得 故 , 当; 当,…………① , …………② ①-②得: 又也满足上式, 3、设数列满足,.(Ⅰ)求数列的通项;(Ⅱ)设,求数列的前项和.解:(I)用心 爱心 专心2验证时也满足上式,(II) , , 4、已知函数的图象经过点和,记(1)求数列的通项公式;(2)设,若,求的最小值;(3)(理)求使不等式对一切均成立的最大实数.解:(1)由题意得, , (2)由(1)得, ① ②①-② 得 用心 爱心 专心3. , 设, 则 由得随 的增大而减小时, 又恒成立,………………9 分 (3)(理)由题意得恒成立 记,则………………12 分是随 的增大而增大 的最小值为,,即.5、数列中,=1,(n=1,2,3…).(Ⅰ)求,;(Ⅱ)求数列的前 n 项和;解:(Ⅰ) ,,∴,∴=,=. (Ⅱ) ==,∴2=,=2,∴{}是首项为,公比为 2 的等比数列.∴==. 用心 爱心 专心46、已知数列满足,且(1)求数列的通项公式;(2) 证明;(3)数列是否存在最大项?若存在最大项,求出该项和相应的项数;若不存在,说明理由。解:(1)由得 由一元二次方程求根公式得 ∴ (2) ∴ = ∴ (3)解法 1: ∴ ,∴用心 爱心 专心5∴, ∴即∴数列有最大项,最大项为第一项.〔解法 2:由知数列各项满足函数 当时,∴当时,即函数在上为减函数即有∴数列有最大项,最大项为第一项.7 、 已 知 数 列是 首 项 为, 公 比的 等 比 数 列 ,是 其 前项 和 , 且成等差数列。(1)求公比 的值;(2)设,求。解:(1)成等差数列, 用心 爱心 专心6 (2) 8、已知数列的各项均为正数,且满足,推测并证明的通项公式。解:由得, ,推测下面用数学归纳法证明之:10 当时,已证明成立。20 假设当所以,当时,结论也成立综上所述,对,9、已知 Sn是数列的前 n 项和,且 (Ⅰ)求数列的通项公式; (Ⅱ)设,是否存在最大的正整数 k,使得...

1、当您付费下载文档后,您只拥有了使用权限,并不意味着购买了版权,文档只能用于自身使用,不得用于其他商业用途(如 [转卖]进行直接盈利或[编辑后售卖]进行间接盈利)。
2、本站所有内容均由合作方或网友上传,本站不对文档的完整性、权威性及其观点立场正确性做任何保证或承诺!文档内容仅供研究参考,付费前请自行鉴别。
3、如文档内容存在违规,或者侵犯商业秘密、侵犯著作权等,请点击“违规举报”。

碎片内容

广东省深圳市福田区2011年高三数学冲刺阶段解答题训练题集5 数列部分素材

文章天下+ 关注
实名认证
内容提供者

各种文档应有尽有

相关文档

确认删除?
VIP
微信客服
  • 扫码咨询
会员Q群
  • 会员专属群点击这里加入QQ群
客服邮箱
回到顶部