电脑桌面
添加小米粒文库到电脑桌面
安装后可以在桌面快捷访问

代数十讲 不等式例讲(B)问题与练习VIP免费

代数十讲 不等式例讲(B)问题与练习_第1页
1/3
代数十讲 不等式例讲(B)问题与练习_第2页
2/3
代数十讲 不等式例讲(B)问题与练习_第3页
3/3
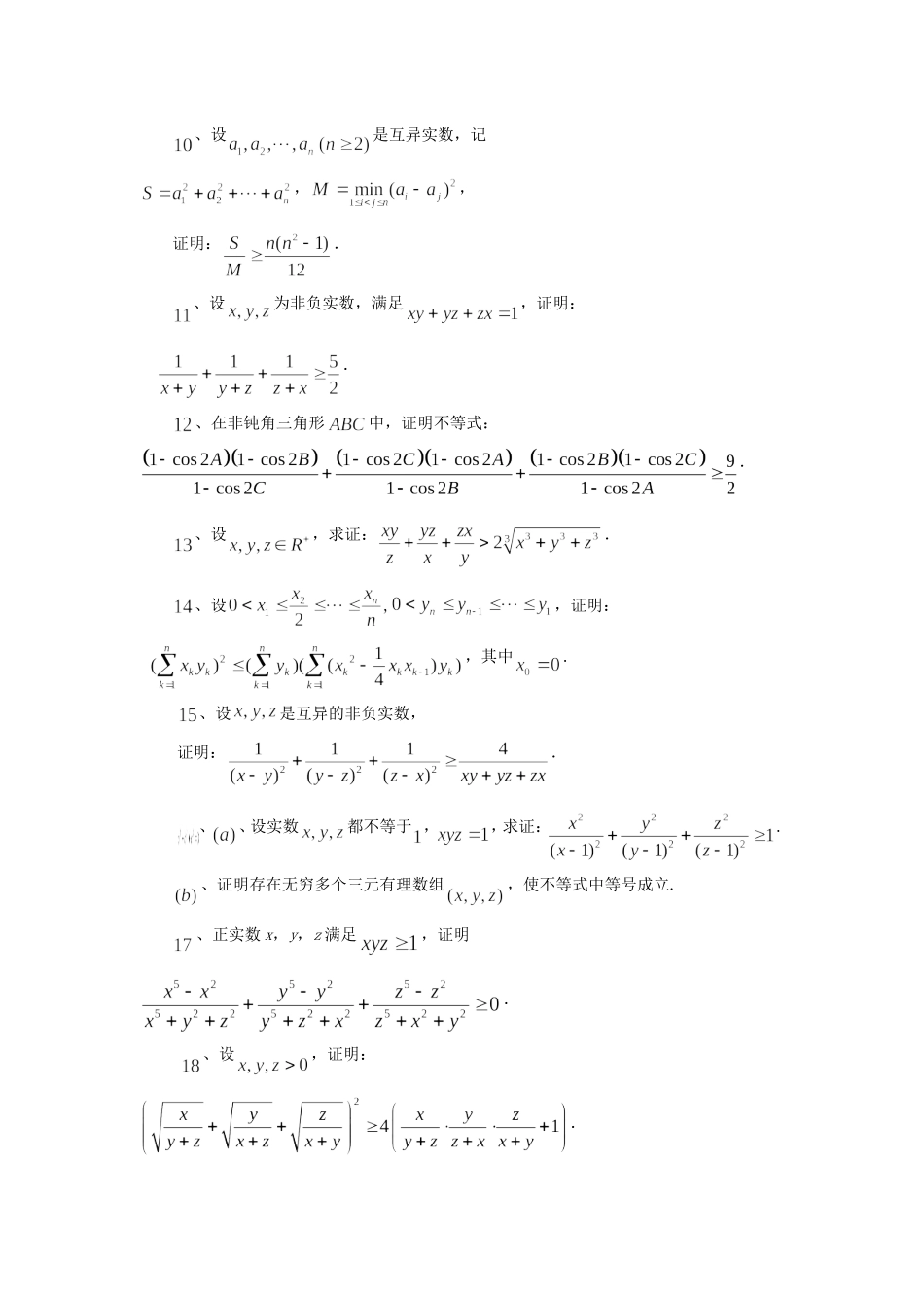
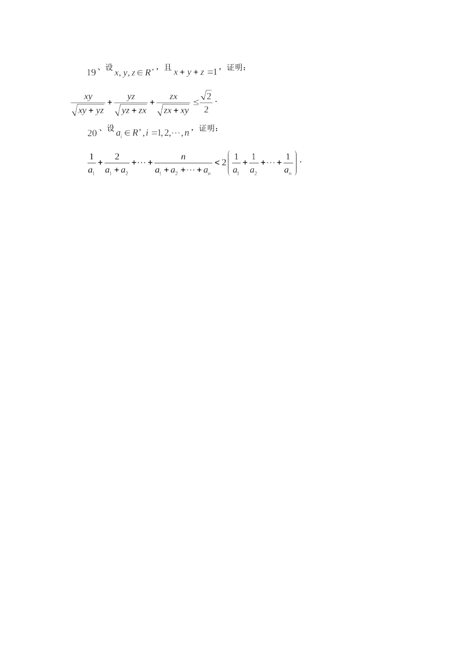
【代数十讲】不等式例讲(B)问题与练习基本内容与方法:柯西不等式,平均不等式,排序不等式;变形配凑法,数形结合法,三角代换法,局部放缩法,化归法,归纳法,调整法.、设正实数满足:,求的最小值.、设,满足,求证:.、在锐角三角形中,证明:.、对于每个正整数,证明:.、设,,且,求的最大值.、设为正整数,对于,证明幂平均公式:.、设,满足:,证明:.试将其推广到个元的情况.、设,证明:、设;证明:.、设是互异实数,记,,证明:.、设为非负实数,满足,证明:.、在非钝角三角形中,证明不等式:.、设,求证:.、设,证明:,其中.、设是互异的非负实数,证明:.、、设实数都不等于,,求证:.、证明存在无穷多个三元有理数组,使不等式中等号成立.、正实数x,y,z满足,证明.、设,证明:.、设,且,证明:.、设,证明:.

1、当您付费下载文档后,您只拥有了使用权限,并不意味着购买了版权,文档只能用于自身使用,不得用于其他商业用途(如 [转卖]进行直接盈利或[编辑后售卖]进行间接盈利)。
2、本站所有内容均由合作方或网友上传,本站不对文档的完整性、权威性及其观点立场正确性做任何保证或承诺!文档内容仅供研究参考,付费前请自行鉴别。
3、如文档内容存在违规,或者侵犯商业秘密、侵犯著作权等,请点击“违规举报”。

碎片内容

代数十讲 不等式例讲(B)问题与练习

文章天下+ 关注
实名认证
内容提供者

各种文档应有尽有

相关文档

确认删除?
VIP
微信客服
  • 扫码咨询
会员Q群
  • 会员专属群点击这里加入QQ群
客服邮箱
回到顶部