电脑桌面
添加小米粒文库到电脑桌面
安装后可以在桌面快捷访问

2007年绍兴地区高中数学必修5等比数列教案 新课标人教A版

2007年绍兴地区高中数学必修5等比数列教案 新课标人教A版_第1页
1/4
2007年绍兴地区高中数学必修5等比数列教案 新课标人教A版_第2页
2/4
2007年绍兴地区高中数学必修5等比数列教案 新课标人教A版_第3页
3/4
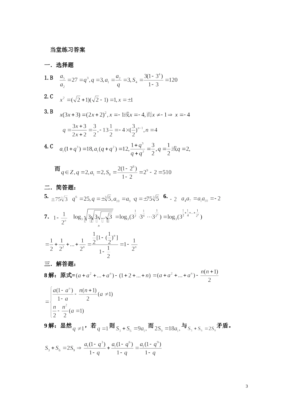
豫才中学等比数列练习题 2007.3.15③班级 姓名 学号 一.选择题(请在旁边写上选择理由)1.等比数列中, 则的前项和为( ) A. B. C. D.2.与,两数的等比中项是( )A. B. C. D.3.已知一等比数列的前三项依次为,那么是此数列的第( )项 A. B. C. D. 4.在公比为整数的等比数列中,如果那么该数列的前 项之和为( )A. B. C. D.二.简答题5.在等比数列中, 若求.6.在等比数列中, 若是方程的两根,求.7.计算.三.解答题8 求和:9.设等比数列前 项和为,若,求数列的公比110.已知 Sn是等比数列{an}的前 n 项和,S3,S9,S6成等差数列,求证 a2,a8,a5成等差数列.11.已知等比数列与数列满足(1)判断是何种数列,并给出证明;(2)若12.如图,设正三角形ABC的边长为20cm,取BC边的中点E,作正三角形BDE;取边DE的中点G,作正三角形DFG;如此继续下去……求所得的前20个正三角形的面积和.数学 5(必修)第二章:等比数列教学参考题 答案 2007.3.15③2当堂练习答案一.选择题1.B 2.C 3.B 4.C 而二.简答题:5. 6. 7. 三.解答题:8 解:原式= 9 解:显然,若则而与矛盾。3而,∴10.分析:由 S3,S9,S6成等差数列,得 S3+S6=2S9.要证 a2,a8,a5成等差数列,只要证 a2+a5=2a8.证明:由 S3,S9,S6成等差数列,得 S3+S6=2S9.这里 q≠1,事实上,如果 q=1,则 S3=3a1,S6=6a1,S9=9a1.由 a1≠0,得S3+S6≠2S9,与题设矛盾,所以 q≠1.由 S3+S6=2S9,整理得 q3+q6=2q9.由 q≠0,得 1+q3=2q6.因此,a2+a5=a1q+a1q4=a1q(1+q3)=a1q(2q6)=2a1q7=2a8.所以 a2,a8,a5成等差数列.11.11.(1)设的公比为 q,所以是以为公差的等差数列(2) 所以由等差数列性质得4

1、当您付费下载文档后,您只拥有了使用权限,并不意味着购买了版权,文档只能用于自身使用,不得用于其他商业用途(如 [转卖]进行直接盈利或[编辑后售卖]进行间接盈利)。
2、本站所有内容均由合作方或网友上传,本站不对文档的完整性、权威性及其观点立场正确性做任何保证或承诺!文档内容仅供研究参考,付费前请自行鉴别。
3、如文档内容存在违规,或者侵犯商业秘密、侵犯著作权等,请点击“违规举报”。

碎片内容

2007年绍兴地区高中数学必修5等比数列教案 新课标人教A版

您可能关注的文档

文章天下+ 关注
实名认证
内容提供者

各种文档应有尽有

确认删除?
VIP
微信客服
  • 扫码咨询
会员Q群
  • 会员专属群点击这里加入QQ群
客服邮箱
回到顶部