电脑桌面
添加小米粒文库到电脑桌面
安装后可以在桌面快捷访问

2012届高考数学复习 第83课时第九章 直线、平面、简单几何体-立体几何小结名师精品教案 新人教A版

2012届高考数学复习 第83课时第九章 直线、平面、简单几何体-立体几何小结名师精品教案 新人教A版_第1页
1/5
2012届高考数学复习 第83课时第九章 直线、平面、简单几何体-立体几何小结名师精品教案 新人教A版_第2页
2/5
2012届高考数学复习 第83课时第九章 直线、平面、简单几何体-立体几何小结名师精品教案 新人教A版_第3页
3/5
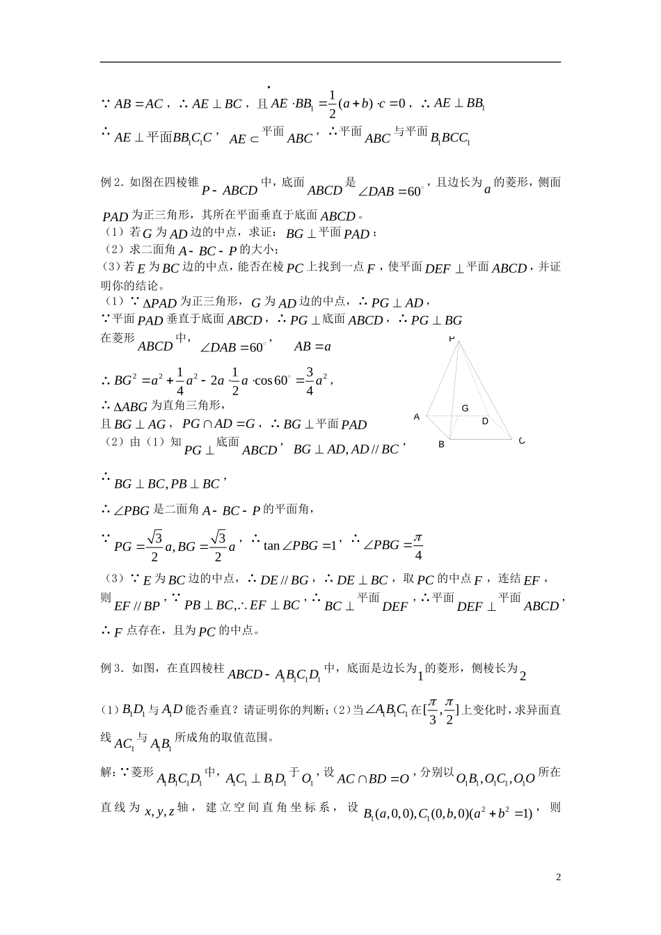
OC1B1A1CBA第 83 课时:第九章 直线、平面、简单几何体——立体几何小结课题:立体几何小结一.课前预习:1.已知两条异面直线 ,a b 所成的角为 3 ,直线l 与a ,直线l 与b 所成的角为 ,则 的范围是 ( A )( )A [,]6 2  ( )B [,]3 2  ( )C5[,]66 ()D 2[,]332.把正方形 ABCD 沿对角线 AC 折起,当 A、B C、D 四点为顶点的三棱锥体积最大时,直线 BD与平面 ABC 所成的角的大小为( C )( )A 90° ( )B 60° ( )C 45° ()D 30°3.长方体的一个顶点上三条棱长分别为1,2,3,该长方体的顶点都在同一个球面上,则这个球的表面积为 14 4.直角三角形 ABC 的斜边 AB 在平面 内,,AC BC 与平面 分别成30 ,45 的角,若10ABCS,则 ABC在平面 内的射影构成的三角形的面积为 5 二.例题分析:例 1.已知斜三棱柱111ABCA B C中,112,,233BACBAACAA1ABAC ,12,AA 点O 是1B C 与1BC 的交点,(1)基向量1,,AB AC AA�表示向量 AO�;(2)求异面直线 AO 与 BC 所成的角;(3)判定平面 ABC 与平面11B BCC解:设1,,ABa ACb AAc�(1)11 ()2AOABBOABBCCC�1 ()2 abc  (2)由题意,可求得236,||22AOAO�,BCACAB�,1AO BC�,||2BC �,3cos,3AO BC�,∴异面直线 AO 与 BC 所成的角为3arccos 3(3)取 BC 的中点 E ,连结 AE ,则11()()22AEABACab�1GPDCBA ABAC,∴ AEBC,且11 ()02AE BBabc �,∴1AEBB∴11AEBB C C 平面, AE 平面 ABC ,∴平面 ABC 与平面11B BCC例 2.如图在四棱锥 PABCD中,底面 ABCD 是60DAB ,且边长为a 的菱形,侧面PAD 为正三角形,其所在平面垂直于底面 ABCD 。(1)若G 为 AD 边的中点,求证: BG 平面 PAD ;(2)求二面角 ABCP的大小;(3)若 E 为 BC 边的中点,能否在棱 PC 上找到一点 F ,使平面 DEF 平面 ABCD ,并证明你的结论。(1) PAD为正三角形,G 为 AD 边的中点,∴ PGAD, 平面 PAD 垂直于底面 ABCD ,∴ PG 底面 ABCD ,∴ PGBG在菱形 ABCD 中,60DAB , ABa∴22221132cos60424BGaaaaa,∴ ABG为直角三角形...

1、当您付费下载文档后,您只拥有了使用权限,并不意味着购买了版权,文档只能用于自身使用,不得用于其他商业用途(如 [转卖]进行直接盈利或[编辑后售卖]进行间接盈利)。
2、本站所有内容均由合作方或网友上传,本站不对文档的完整性、权威性及其观点立场正确性做任何保证或承诺!文档内容仅供研究参考,付费前请自行鉴别。
3、如文档内容存在违规,或者侵犯商业秘密、侵犯著作权等,请点击“违规举报”。

碎片内容

2012届高考数学复习 第83课时第九章 直线、平面、简单几何体-立体几何小结名师精品教案 新人教A版

您可能关注的文档

确认删除?
VIP
微信客服
  • 扫码咨询
会员Q群
  • 会员专属群点击这里加入QQ群
客服邮箱
回到顶部