电脑桌面
添加小米粒文库到电脑桌面
安装后可以在桌面快捷访问

3.1.1 两角和与差的余弦

3.1.1 两角和与差的余弦_第1页
1/3
3.1.1 两角和与差的余弦_第2页
2/3
3.1.1 两角和与差的余弦_第3页
3/3
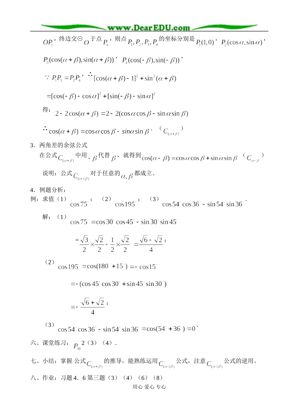
4Px1POy2P3Pyx1P1M2NQ2P1N2MO 3.1.1 两角和与差的余弦一、课题:两角和与差的余弦二、教学目标:1.掌握两点间的距离公式及其推导;2.掌握两角和的余弦公式的推导;3.能初步运用公式来解决一些有关的简单的问题。三、教学重点:两点间的距离公式及两角和的余弦公式的推导。四、教学难点:两角和的余弦公式的推导。五、教学过程:(一)复习:1.数轴两点间的距离公式:.2.点是终边与单位圆的交点,则.(二)新课讲解:1.两点间的距离公式及其推导设是坐标平面内的任意两点,从点分别作轴的垂线,与轴交于点;再从点分别作轴的垂线,与轴交于点.直线与相交于点,那么, .由勾股定理,可得 ∴. 2.两角和的余弦公式的推导在直角坐标系内作单位圆,并作角与,使角的始边为,交⊙于点,终边交⊙于点;角的始边为,终边交⊙于点;角的始边为用心 爱心 专心,终边交⊙于点,则点的坐标分别是,,,,,∴得:∴.()3.两角差的余弦公式在公式中用代替,就得到 ()说明:公式对于任意的都成立。4.例题分析:例:求值(1); (2); (3).解:(1)= ;(2);(3).六、课堂练习:2(3)(4).七、小结:掌握 公式的推导,能熟练运用公式,注意公式的逆用。八、作业:习题 4.6 第三题(3)(4)(6)(8)用心 爱心 专心用心 爱心 专心

1、当您付费下载文档后,您只拥有了使用权限,并不意味着购买了版权,文档只能用于自身使用,不得用于其他商业用途(如 [转卖]进行直接盈利或[编辑后售卖]进行间接盈利)。
2、本站所有内容均由合作方或网友上传,本站不对文档的完整性、权威性及其观点立场正确性做任何保证或承诺!文档内容仅供研究参考,付费前请自行鉴别。
3、如文档内容存在违规,或者侵犯商业秘密、侵犯著作权等,请点击“违规举报”。

碎片内容

3.1.1 两角和与差的余弦

您可能关注的文档

文章天下+ 关注
实名认证
内容提供者

各种文档应有尽有

确认删除?
VIP
微信客服
  • 扫码咨询
会员Q群
  • 会员专属群点击这里加入QQ群
客服邮箱
回到顶部