电脑桌面
添加小米粒文库到电脑桌面
安装后可以在桌面快捷访问

6.2.1 算术平均数与几何平均数

6.2.1 算术平均数与几何平均数_第1页
1/3
6.2.1 算术平均数与几何平均数_第2页
2/3
6.2.1 算术平均数与几何平均数_第3页
3/3
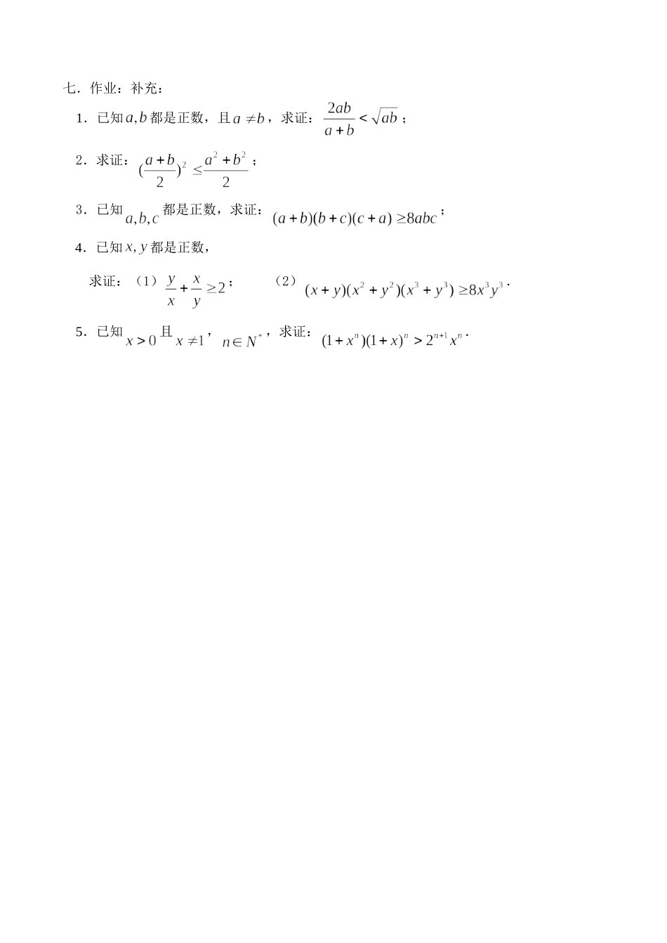
算术平均数与几何平均数(1)一.课题: 二.教学目标:1. 能推导并掌握两个正数的算术平均数与几何平均数定理;2. 理解定理的几何意义,能够简单应用定理证明不等式.三.教学重、难点:均值定理证明及运用.四.教学过程:(一)复习:1.用和号填空: (1)如果,那么 ;(2)如果,那么 ;(3)如果,那么 ;(4)如果,那么 ;(5)如果,那么 .(二)新课讲解:.基本不等式:定理:如果,那么(当且仅当时取“”).证明:,(当且仅当时取“”).说明:(1)指出定理适用范围:;(2)强调取“”的条件.定理:如果是正数,那么(当且仅当时取“=”)证明:∵, ∴,即: 当且仅当时 .说明:(1)这个定理适用的范围:; (2)我们称的算术平均数,称的几何平均数即:两个正数的算术平均数不小于它们的几何平均数.2.的几何解释:(如图 1)以为直径作圆,在直径上取一点, 过作弦,则,从而,而半径.例 1.已知为两两不相等的实数,求证:证明:∵为两两不相等的实数,∴,,,以上三式相加:所以,.例 2.已知都是正数,求证.证明:由都是正数,得: ,, ∴, 即.例 3.求证:. 证明:∵, 又, ∴,∴,即.五.课堂练习:已知都是正数,求证:.六.课堂小结:都是正数,的算术平均数是什么?几何平均数是什么?它们的关系怎样?ABDDCab(图1 ) 七.作业:补充:1.已知都是正数,且,求证:;2.求证:;3.已知都是正数,求证:;4.已知都是正数,求证:(1); (2).5.已知且,,求证:.

1、当您付费下载文档后,您只拥有了使用权限,并不意味着购买了版权,文档只能用于自身使用,不得用于其他商业用途(如 [转卖]进行直接盈利或[编辑后售卖]进行间接盈利)。
2、本站所有内容均由合作方或网友上传,本站不对文档的完整性、权威性及其观点立场正确性做任何保证或承诺!文档内容仅供研究参考,付费前请自行鉴别。
3、如文档内容存在违规,或者侵犯商业秘密、侵犯著作权等,请点击“违规举报”。

碎片内容

6.2.1 算术平均数与几何平均数

您可能关注的文档

文章天下+ 关注
实名认证
内容提供者

各种文档应有尽有

相关文档

确认删除?
VIP
微信客服
  • 扫码咨询
会员Q群
  • 会员专属群点击这里加入QQ群
客服邮箱
回到顶部