电脑桌面
添加小米粒文库到电脑桌面
安装后可以在桌面快捷访问

江苏省淮阴中学2013届高考数学一轮复习 三角函数图像与性质教案

江苏省淮阴中学2013届高考数学一轮复习 三角函数图像与性质教案_第1页
1/6
江苏省淮阴中学2013届高考数学一轮复习 三角函数图像与性质教案_第2页
2/6
江苏省淮阴中学2013届高考数学一轮复习 三角函数图像与性质教案_第3页
3/6
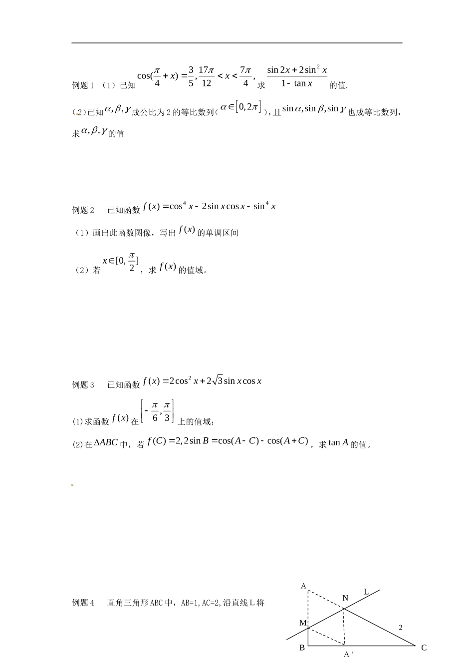
第 04 课 三角函数图像与性质课前预习题1. 将时钟的分针拨快 30 分,则时针转过的弧度为 ______2.已知( )sin 3nf n,则(1)(2)...(2003)fff= ___3. 在三角形 ABC 中,下列正确的说法有 ________(1)sinsinABAB(2)coscosABAB(3)sincosAB △ABC 为直角三角形4.设0 ,( )2sinf xx在[,]3 4 上为增函数,则 的范围为 _____ 5. 已知(,0)2x ,4cos5x ,则 tan 2x  ___ 6. 已知 为锐角,4sin()65 ,cos = _____ 7. 函数1cos2xy的最小正周期是 _________8. 已知函数),2,2(,2sin)(tanxxxf则)21(f ____ 9. 0tantan是0)tan( 成立的 _______________ 条件 10. sin50(13 tan10 )cos20 cos40 cos60 cos80= _______11. 已知12cos13 ,17 2cos()26,33( ,),(,2 )22 ,则  ______________12. 已知奇函数)(xf在0,1上为单调递减函数,又,为锐角三角形的两内角,则 (sin)(cos)ff与 的大小为 _____ 13. 把函数sin(2)2yx的图像向右平移 3个单位,得函数的解析式为 ___平移后图像的一个对称轴方程为 ___ ,对称中心为 _ ,单调增区间为 14. 函数sin(),(0)3yx在区间[0,2] 上恰有一个最大值和一个最小值,则 的取值范围为 _____ 例题1例题 1 (1)已知,471217,53)4cos(xx求xxxtan1sin22sin2的值.(2)已知,,   成公比为 2 的等比数列(0,2),且sin,sin,sin 也成等比数列,求,,   的值例题 2 已知函数xxxxxf44sincossin2cos)((1)画出此函数图像,写出( )f x 的单调区间(2)若]2,0[x,求)(xf的值域。例题 3 已知函数2( )2cos2 3sincosf xxxx(1)求函数( )f x 在,6 3  上的值域;(2)在 ABC中,若( )2,2sincos()cos()f CBACAC,求 tan A 的值。例题 4 直角三角形 ABC 中,AB=1,AC=2,沿直线L将2AA′LBCMN其折叠,使A折叠后对应点A′落在 BC 上,L 交 AB,AC 于 M,N,∠ AMN=θ,(1)用 表示线段 AM 的长,并写出 的取值范围。(2)求 AN 的最小值。作业1. 若甲为),2sin()cos(sin3乙为,tan2)tan(则甲...

1、当您付费下载文档后,您只拥有了使用权限,并不意味着购买了版权,文档只能用于自身使用,不得用于其他商业用途(如 [转卖]进行直接盈利或[编辑后售卖]进行间接盈利)。
2、本站所有内容均由合作方或网友上传,本站不对文档的完整性、权威性及其观点立场正确性做任何保证或承诺!文档内容仅供研究参考,付费前请自行鉴别。
3、如文档内容存在违规,或者侵犯商业秘密、侵犯著作权等,请点击“违规举报”。

碎片内容

江苏省淮阴中学2013届高考数学一轮复习 三角函数图像与性质教案

您可能关注的文档

确认删除?
VIP
微信客服
  • 扫码咨询
会员Q群
  • 会员专属群点击这里加入QQ群
客服邮箱
回到顶部