电脑桌面
添加小米粒文库到电脑桌面
安装后可以在桌面快捷访问

江西省南昌大学附属中学高中数学 第三章 三角恒等变形 小结与复习学案 必修4

江西省南昌大学附属中学高中数学 第三章 三角恒等变形 小结与复习学案 必修4_第1页
1/3
江西省南昌大学附属中学高中数学 第三章 三角恒等变形 小结与复习学案 必修4_第2页
2/3
江西省南昌大学附属中学高中数学 第三章 三角恒等变形 小结与复习学案 必修4_第3页
3/3
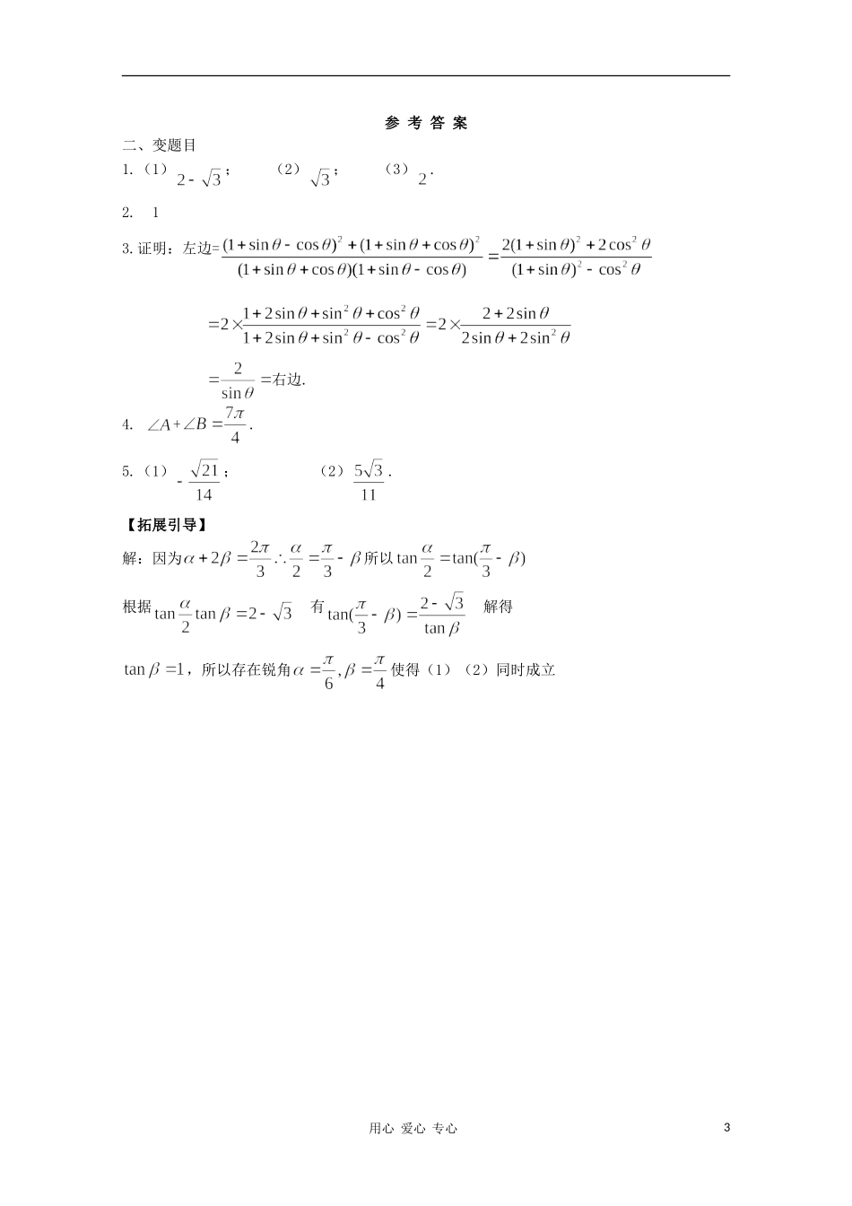
【必修 4】第三章 三角恒等变形 小结与复习学时:1 学时【学习引导】一、自主学习1,阅读课本页2.回答问题:1,同角三角函数之间有何关系?这些关系公式有什么用途?2,两角和与两角差的三角函数之间有什么关系?他们有什么用途?3,本章重,难点知识是什么?4,本节课的重点上什么?3.完成课本练习4.小结.二、方法指导1.请你回忆本章内容,发现知识间的内在联系.2.总结本章知识中蕴涵的方法和规律.【思考引导】1.通过上述过程你可以看出公式间的联系吗?2.如何进行本章知识的小结与复习?对本章的所有公式你有自己的掌握方法吗?二、变题目1.求下列各式的值:(1); (2);(3).用心 爱心 专心12.化简:.3.证明:.4.已知,均为钝角,且,,求+.5. 已知,,且,,求:(1); (2).【总结引导】1.本节课的重点是梳理本章所有公式定理的概念以及它们之间的联系和应用.2.本章所学公式均是可以互相推导的.3. 通过本章的学习你感受哪些数学思想?【拓展引导】是否存在锐角和,使得(1)+2=;(2)同时存在?若存在,请求出和的值;若不存在,请说明理由.用心 爱心 专心2参 考 答 案二、变题目1.(1); (2); (3).2. 13.证明:左边=右边.4. +.5.(1); (2).【拓展引导】解:因为所以根据 有 解得,所以存在锐角使得(1)(2)同时成立用心 爱心 专心3

1、当您付费下载文档后,您只拥有了使用权限,并不意味着购买了版权,文档只能用于自身使用,不得用于其他商业用途(如 [转卖]进行直接盈利或[编辑后售卖]进行间接盈利)。
2、本站所有内容均由合作方或网友上传,本站不对文档的完整性、权威性及其观点立场正确性做任何保证或承诺!文档内容仅供研究参考,付费前请自行鉴别。
3、如文档内容存在违规,或者侵犯商业秘密、侵犯著作权等,请点击“违规举报”。

碎片内容

江西省南昌大学附属中学高中数学 第三章 三角恒等变形 小结与复习学案 必修4

您可能关注的文档

文章天下+ 关注
实名认证
内容提供者

各种文档应有尽有

确认删除?
VIP
微信客服
  • 扫码咨询
会员Q群
  • 会员专属群点击这里加入QQ群
客服邮箱
回到顶部