电脑桌面
添加小米粒文库到电脑桌面
安装后可以在桌面快捷访问

苏教版选修2-2高中数学常见函数的导数教案

苏教版选修2-2高中数学常见函数的导数教案_第1页
1/6
苏教版选修2-2高中数学常见函数的导数教案_第2页
2/6
苏教版选修2-2高中数学常见函数的导数教案_第3页
3/6
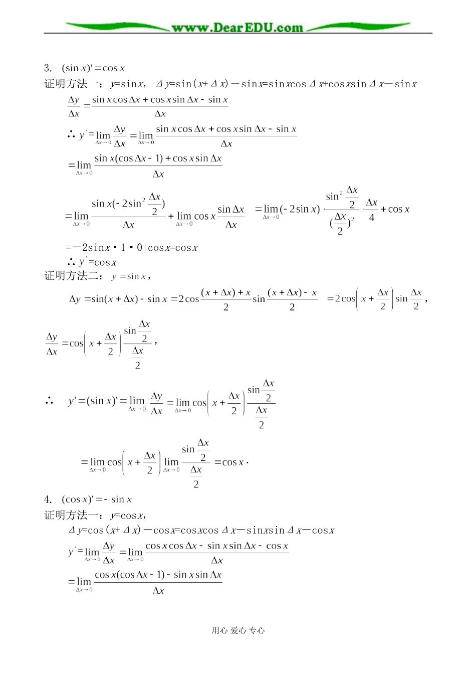
常见函数的导数教学目的:知识与技能:掌握四个公式,理解公式的证明过程.过程与方法:学会利用公式,求一些函数的导数.情感、态度与价值观:理解变化率的概念,解决一些物理上的简单问题 奎屯王新敞新疆教学重点:用定义推导常见函数的导数公式.教学难点:公式的推导.教具准备:与教材内容相关的资料。教学设想:提供一个舞台, 让学生展示自己的才华,这将极大地调动学生的积极性增强学生的荣誉感,培养学生独立分析问题和解决问题的能力,体现了“自主探究”,同时,也锻炼了学生敢想、敢说、敢做的能力。教学过程:学生探究过程:一、复习引入: 1.导数的定义:设函数在处附近有定义,当自变量在处有增量时,则函数相应地有增量,如果时,与的比(也叫函数的平均变化率)有极限即无限趋近于某个常数,我们把这个 极 限 值 叫 做 函 数在处 的 导 数 , 记 作, 即2. 导数的几何意义:是曲线上点()处的切线的斜率奎屯王新敞新疆因此,如果在 点可 导 , 则 曲 线在 点 () 处 的 切 线 方 程 为奎屯王新敞新疆3. 导函数(导数):如果函数在开区间内的每点处都有导数,此时对于每一个,都对应着一个确定的导数,从而构成了一个新的函数, 称这个函数为函数在开区间内的导函数,简称导数,也可记作,即==函 数在处 的 导 数就 是 函 数在 开 区 间上导数在处的函数值,即=奎屯王新敞新疆所以函数在处的导数也记作奎屯王新敞新疆导数与导函数都称为导数,这要加以区分:求一个函数的导数,就是求导函数;用心 爱心 专心求一个函数在给定点的导数,就是求导函数值奎屯王新敞新疆它们之间的关系是函数在点处的导数就是导函数在点的函数值奎屯王新敞新疆4.可导: 如果函数在开区间内每一点都有导数,则称函数在开区间内可导奎屯王新敞新疆5. 可导与连续的关系:如果函数 y=f(x)在点 x0处可导,那么函数 y=f(x)在点x0处连续,反之不成立. 函数具有连续性是函数具有可导性的必要条件,而不是充分条件.6. 求函数的导数的一般方法:(1)求函数的改变量奎屯王新敞新疆(2)求平均变化率奎屯王新敞新疆(3)取极限,得导数= 奎屯王新敞新疆二、讲解新课:1. (C 为常数)说明:此公式可以叙述为:常函数的导数为零.其几何解释是:函数的图象是平行于 轴的直线,其上任一点的切线即为直线本身,所以切线的斜率都是 0.证明:=C,∴Δy=f(x+Δx)-f(x)=C-C=0∴=0,=C′==0,∴=0.2. ()说明:...

1、当您付费下载文档后,您只拥有了使用权限,并不意味着购买了版权,文档只能用于自身使用,不得用于其他商业用途(如 [转卖]进行直接盈利或[编辑后售卖]进行间接盈利)。
2、本站所有内容均由合作方或网友上传,本站不对文档的完整性、权威性及其观点立场正确性做任何保证或承诺!文档内容仅供研究参考,付费前请自行鉴别。
3、如文档内容存在违规,或者侵犯商业秘密、侵犯著作权等,请点击“违规举报”。

碎片内容

苏教版选修2-2高中数学常见函数的导数教案

您可能关注的文档

确认删除?
VIP
微信客服
  • 扫码咨询
会员Q群
  • 会员专属群点击这里加入QQ群
客服邮箱
回到顶部