电脑桌面
添加小米粒文库到电脑桌面
安装后可以在桌面快捷访问

二元一次方程计算题含答案

二元一次方程计算题含答案_第1页
1/17
二元一次方程计算题含答案_第2页
2/17
二元一次方程计算题含答案_第3页
3/17
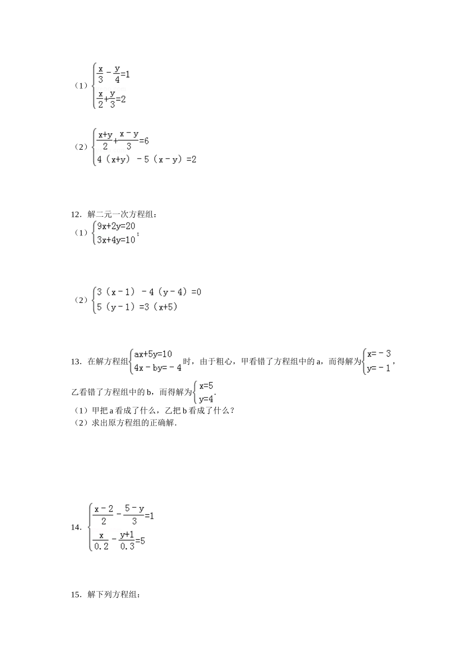
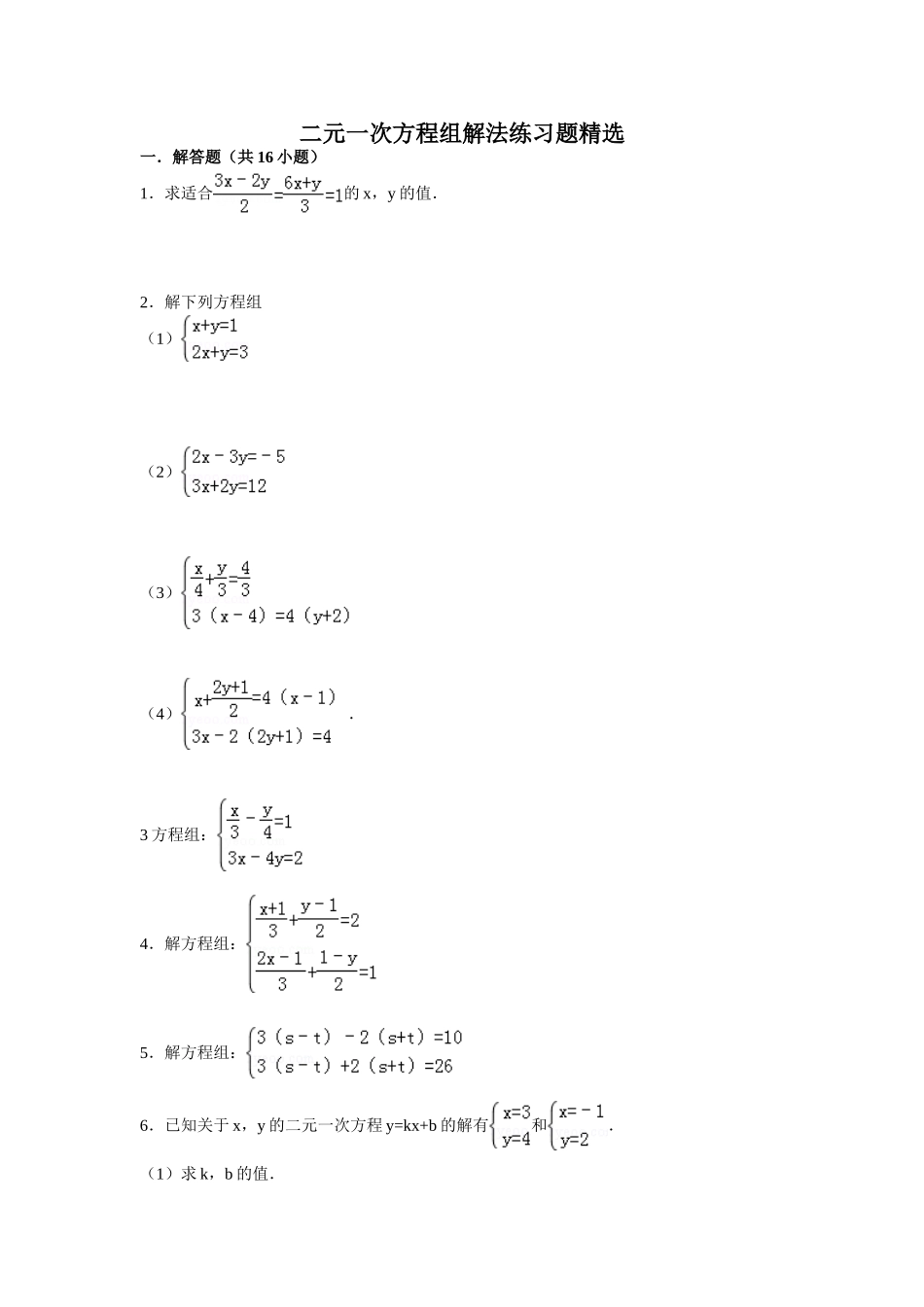
二元一次方程组解法练习题精选一.解答题(共 16 小题)1.求适合的 x,y 的值.2.解下列方程组(1)(2)(3)(4). 3 方程组:4.解方程组:5.解方程组:6.已知关于 x,y 的二元一次方程 y=kx+b 的解有和.(1)求 k,b 的值.(2)当 x=2 时,y 的值.(3)当 x 为何值时,y=3? 7.解方程组:(1);(2).8.解方程组:9.解方程组: 10.解下列方程组:(1)(2)11.解方程组:(1)(2)12.解二元一次方程组:(1);(2)13.在解方程组时,由于粗心,甲看错了方程组中的 a,而得解为,乙看错了方程组中的 b,而得解为.(1)甲把 a 看成了什么,乙把 b 看成了什么?(2)求出原方程组的正确解.14.15.解下列方程组:(1)(2).16.解下列方程组:(1)(2)二元一次方程组解法练习题精选(含答案)参考答案与试题解析 一.解答题(共 16 小题)1.求适合的 x,y 的值.考点:解二元一次方程组.809625 分析: 先把两方程变形(去分母),得到一组新的方程,然后在用加减消元法消去未知数 x,求出 y 的值,继而求出 x 的值.解答: 解:由题意得:,由(1)×2 得:3x2y=2﹣(3),由(2)×3 得:6x+y=3(4),(3)×2 得:6x4y=4﹣(5),(5)﹣(4)得:y=﹣ ,把 y 的值代入(3)得:x=,∴.点评:本题考查了二元一次方程组的解法,主要运用了加减消元法和代入法. 2.解下列方程组(1)(2)(3)(4).考点:解二元一次方程组.809625 分(1)(2)用代入消元法或加减消元法均可;析: (3)(4)应先去分母、去括号化简方程组,再进一步采纳适宜的方法求解.解答:解:(1)①﹣②得,﹣x=2﹣ ,解得 x=2,把 x=2 代入①得,2+y=1,解得 y=1﹣ .故原方程组的解为.(2)①×3×2﹣②得,﹣13y=39﹣,解得,y=3,把 y=3 代入①得,2x3×3=5﹣﹣ ,解得 x=2.故原方程组的解为.(3)原方程组可化为,+① ② 得,6x=36,x=6,①﹣② 得,8y=4﹣ ,y=﹣ .所以原方程组的解为.(4)原方程组可化为:,×2+①② 得,x= ,把 x= 代入②得,3×4y=6﹣,y=﹣ .所以原方程组的解为.点评:利用消元法解方程组,要根据未知数的系数特点选择代入法还是加减法:① 相同未知数的系数相同或互为相反数时,宜用加减法;② 其中一个未知数的系数为 1 时,宜用代入法. 3.解方程组:考点:解二元一次方程组.809625 专题:计算题.分析:先化简方程...

1、当您付费下载文档后,您只拥有了使用权限,并不意味着购买了版权,文档只能用于自身使用,不得用于其他商业用途(如 [转卖]进行直接盈利或[编辑后售卖]进行间接盈利)。
2、本站所有内容均由合作方或网友上传,本站不对文档的完整性、权威性及其观点立场正确性做任何保证或承诺!文档内容仅供研究参考,付费前请自行鉴别。
3、如文档内容存在违规,或者侵犯商业秘密、侵犯著作权等,请点击“违规举报”。

碎片内容

二元一次方程计算题含答案

您可能关注的文档

确认删除?
VIP
微信客服
  • 扫码咨询
会员Q群
  • 会员专属群点击这里加入QQ群
客服邮箱
回到顶部