电脑桌面
添加小米粒文库到电脑桌面
安装后可以在桌面快捷访问

(新课程)高中数学《1.3-1三角函数的诱导公式》导学案 新人教A版必修4VIP专享

(新课程)高中数学《1.3-1三角函数的诱导公式》导学案 新人教A版必修4_第1页
1/4
(新课程)高中数学《1.3-1三角函数的诱导公式》导学案 新人教A版必修4_第2页
2/4
(新课程)高中数学《1.3-1三角函数的诱导公式》导学案 新人教A版必修4_第3页
3/4
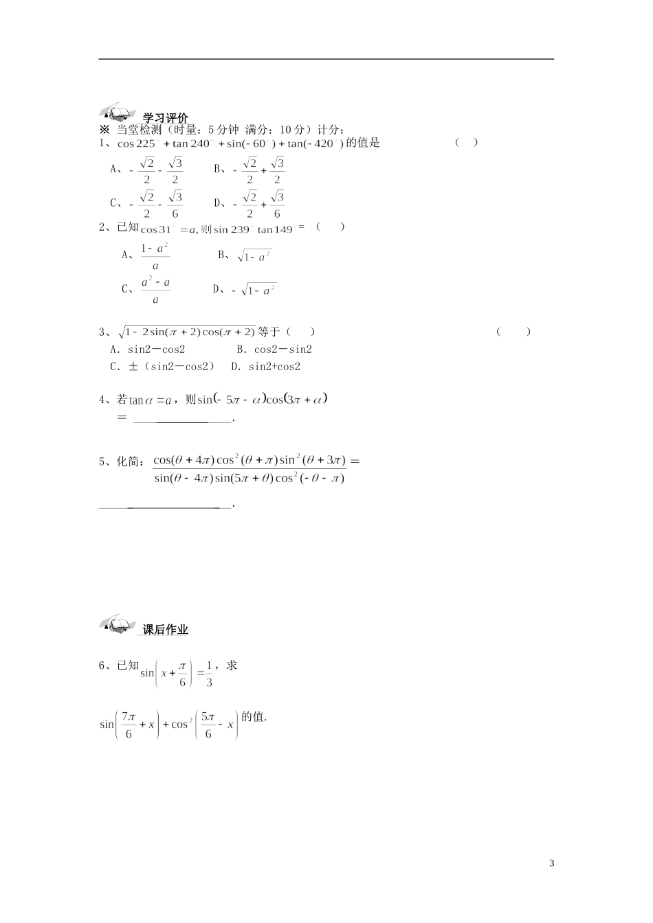
§1.3.1 诱导公式(1) 学习目标 1.借助单位圆,推导出正弦,余弦的诱导公式.2.正确运用诱导公式将任意角的三角函数化为锐角的三角函数,并解决有关三角函数求值,化简和恒等式证明问题. 学习过程 一、课前准备(预习教材 P23~ P27,找出疑惑之处)如何求 sin750º,cos1080º,tan780º,sin,cos的值二、新课导学※ 探索新知问题 1:如何把任一角的三角函数的求值问题转化为 0º—360º 间三角函数的求值问题?问题 2:已知任意角的终边与单位圆相交于 P(x,y),求 P 关于 x 轴,y 轴,原点对称的三个点的坐标.问题 3:如果角的终边与角的终边关于原点对称,那么与的三角函数值之间有什么关系?问题 4:如果角的终边与角的终边关于 x 轴对称,那么与的三角函数值之间有什么关系?问题 5:如果角的终边与角的终边关于 y 轴对称,那么与的三角函数值之间有什么关系?问题 6:你能概括上述诱导公式吗?※ 典型例题例 1:求值(1); (2);(3)tan(-1560º)变式训练:求值(1);(2); (3)1例 2:已知,求的值.变式训练:已知,求的值。※ 动手试试1、对于诱导公式中的角,下列说法正确的是( )A.一定是锐角 B.0≤<2πC.一定是正角 D.是使公式有意义的任意角2、若则的值是( )A. B. C. D. 3、已知,则= .4、求 cos(-2640°)+sin1665°的值.三、小结反思将任意角的三角函数化为锐角的三角函数的算法流程为:任意角2 学习评价 ※ 当堂检测(时量:5 分钟 满分:10 分)计分:1、的值是 ( )A、 B、 C、 D、2、已知= ( )A、 B、 C、 D、3、等于( )( )A.sin2-cos2 B.cos2-sin2 C.±(sin2-cos2) D.sin2+cos24、若,则= ____ ____.5、化简:=______ _ __. 课后作业 6、已知,求的值.37、已知, 为第三象限角,求的值.8、化简:.4

1、当您付费下载文档后,您只拥有了使用权限,并不意味着购买了版权,文档只能用于自身使用,不得用于其他商业用途(如 [转卖]进行直接盈利或[编辑后售卖]进行间接盈利)。
2、本站所有内容均由合作方或网友上传,本站不对文档的完整性、权威性及其观点立场正确性做任何保证或承诺!文档内容仅供研究参考,付费前请自行鉴别。
3、如文档内容存在违规,或者侵犯商业秘密、侵犯著作权等,请点击“违规举报”。

碎片内容

(新课程)高中数学《1.3-1三角函数的诱导公式》导学案 新人教A版必修4

您可能关注的文档

确认删除?
VIP
微信客服
  • 扫码咨询
会员Q群
  • 会员专属群点击这里加入QQ群
客服邮箱
回到顶部