电脑桌面
添加小米粒文库到电脑桌面
安装后可以在桌面快捷访问

一维稳态导热matlab程序求解

一维稳态导热matlab程序求解_第1页
1/9
一维稳态导热matlab程序求解_第2页
2/9
一维稳态导热matlab程序求解_第3页
3/9
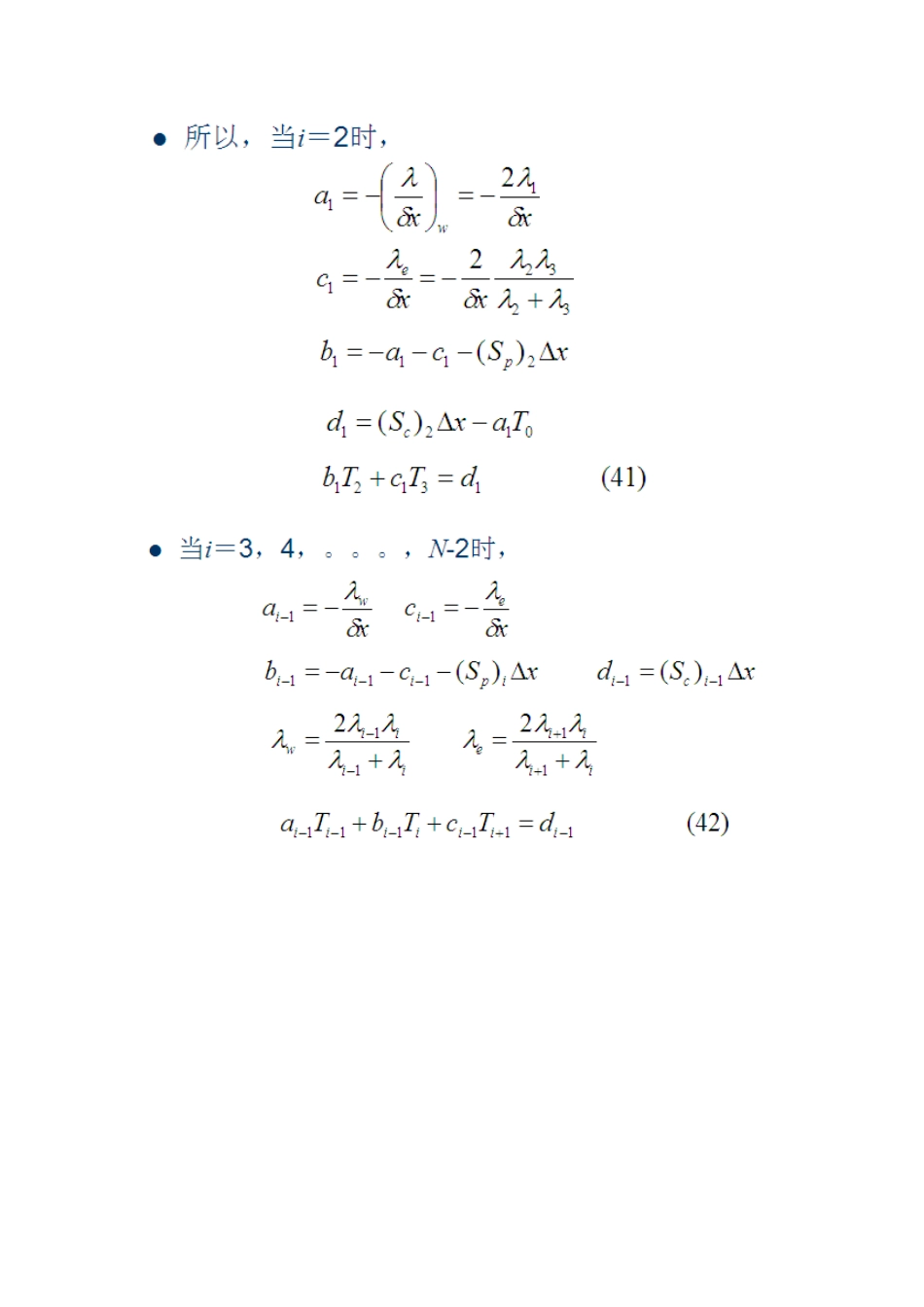
设定 N=100,a=3, b=40, T0=8, s=20x-4T Matlab 源程序代码:length=2;N=100;iterN=0;eps=1.0e-4;deltQ=2;T2=(1:N);T2(1)=8;T2(N)=1;dx=length/(N-2);while (deltQ>=eps && iterN<50) T=T2;for i=1:N k(i)=3*T(i)^3; sc(i)=20*(i-1)/N; sp(i)=4;endk(N/2+1:N)=40*T(N/2+1:N).^3;for i=2:N-1 if i==2 a(i-1)=-2*k(i)/dx; c(i-1)=-2*k(i)*k(i+1)/dx/(k(i)+k(i+1)); b(i-1)=-a(i-1)-c(i-1)-sp(i)*dx; d(i-1)=sc(i)*dx-a(i-1)*T(i-1); else if i==N-1; a(i-1)=-2*k(i)*k(i-1)/dx/(k(i)+k(i-1)); c(i-1)=-2*k(i+1)/dx; b(i-1)=-a(i-1)-c(i-1)-sp(i)*dx; d(i-1)=sc(i)*dx-c(i-1); else a(i-1)=-2*k(i)*k(i-1)/dx/(k(i)+k(i-1)); c(i-1)=-2*k(i)*k(i+1)/dx/(k(i)+k(i+1)); b(i-1)=-a(i-1)-c(i-1)-sp(i)*dx; d(i-1)=sc(i-1)*dx; end endendif abs(b(1))<=abs(c(1)) || abs(b(N-2)<=abs(c(N-2))) warndla('²»Âú×ã×·¸Ï·¨Ìõ¼þ','¾¯¸æ£¡');endfor i=1:N-2 if abs(b(i))

1、当您付费下载文档后,您只拥有了使用权限,并不意味着购买了版权,文档只能用于自身使用,不得用于其他商业用途(如 [转卖]进行直接盈利或[编辑后售卖]进行间接盈利)。
2、本站所有内容均由合作方或网友上传,本站不对文档的完整性、权威性及其观点立场正确性做任何保证或承诺!文档内容仅供研究参考,付费前请自行鉴别。
3、如文档内容存在违规,或者侵犯商业秘密、侵犯著作权等,请点击“违规举报”。

碎片内容

一维稳态导热matlab程序求解

您可能关注的文档

MY shop+ 关注
实名认证
内容提供者

欢迎挑选适合自己的材料。

相关文档

确认删除?
微信客服
  • 扫码咨询
会员Q群
  • 会员专属群点击这里加入QQ群