电脑桌面
添加小米粒文库到电脑桌面
安装后可以在桌面快捷访问

基于LMS算法的MATLAB仿真源程序

基于LMS算法的MATLAB仿真源程序_第1页
1/3
基于LMS算法的MATLAB仿真源程序_第2页
2/3
基于LMS算法的MATLAB仿真源程序_第3页
3/3
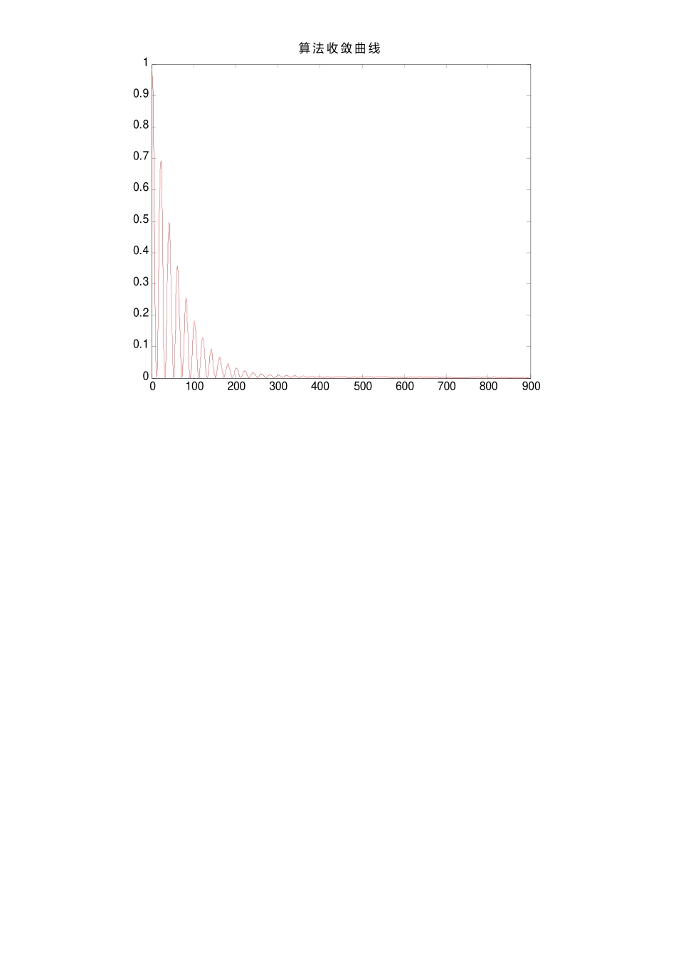
g=100; %统计仿真次数为gN=1024; %输入信号抽样点数k=128; %滤波器阶数pp=zeros(g,N—k); %将每次独立循环的误差结果存于矩阵pp中,以便后面对其平均u=0.00026; %滤波器收敛因子for q=1:g t=1:N; a=1; s=a*sin(0。05*pi*t); %输入单信号s figure(1); subplot(311) plot(s); %信号s时域波形 title(’信号s时域波形’); xlabel('n’); axis([0,N,-a—1,a+1]); xn=awgn(s,5); %加入均值为零的高斯白噪声 %设置初值 y=zeros(1,N); %输出信号y y(1:k)=xn(1:k); %将输入信号xn的前k个值作为输出y的前k个值 w=zeros(1,k); %设置抽头加权初值 e=zeros(1,N); %误差信号 %用LMS算法迭代滤波 for i=(k+1):N XN=xn((i-k+1):(i)); y(i)=w*XN'; e(i)=s(i)-y(i); w=w+u*e(i)*XN;endpp(q,:)=(e((k+1):N))。^2;endsubplot(312)plot(xn); %信号s时域波形title('信号s加噪声后的时域波形’);subplot(313)plot(y); %信号s时域波形 title('自适应滤波后的输出时域波形’);for b=1:N—k bi(b)=sum(pp(:,b))/g; %求误差统计平均endfigure(2); %算法收敛曲线t=1:N-k;plot(t,bi,’r');title(’收敛曲线’);hold on %将每次循环的图形显示结果保存下来01002003004005006007008009001000-202s信 号 时 域 波 形ns020040060080010001200-505s信 号 加 噪 声 后 的 时 域 波 形020040060080010001200-505自 适 应 滤 波 后 的 输 出 时 域 波 形010020030040050060070080090000.10.20.30.40.50.60.70.80.91算 法 收 敛 曲 线

1、当您付费下载文档后,您只拥有了使用权限,并不意味着购买了版权,文档只能用于自身使用,不得用于其他商业用途(如 [转卖]进行直接盈利或[编辑后售卖]进行间接盈利)。
2、本站所有内容均由合作方或网友上传,本站不对文档的完整性、权威性及其观点立场正确性做任何保证或承诺!文档内容仅供研究参考,付费前请自行鉴别。
3、如文档内容存在违规,或者侵犯商业秘密、侵犯著作权等,请点击“违规举报”。

碎片内容

基于LMS算法的MATLAB仿真源程序

您可能关注的文档

办公文档专营+ 关注
实名认证
内容提供者

大量办公文档,欢迎选择

确认删除?
VIP
微信客服
  • 扫码咨询
会员Q群
  • 会员专属群点击这里加入QQ群
客服邮箱
回到顶部