电脑桌面
添加小米粒文库到电脑桌面
安装后可以在桌面快捷访问

高中数学 分数指数幂导学案 苏教版必修1

高中数学 分数指数幂导学案 苏教版必修1_第1页
1/3
高中数学 分数指数幂导学案 苏教版必修1_第2页
2/3
高中数学 分数指数幂导学案 苏教版必修1_第3页
3/3
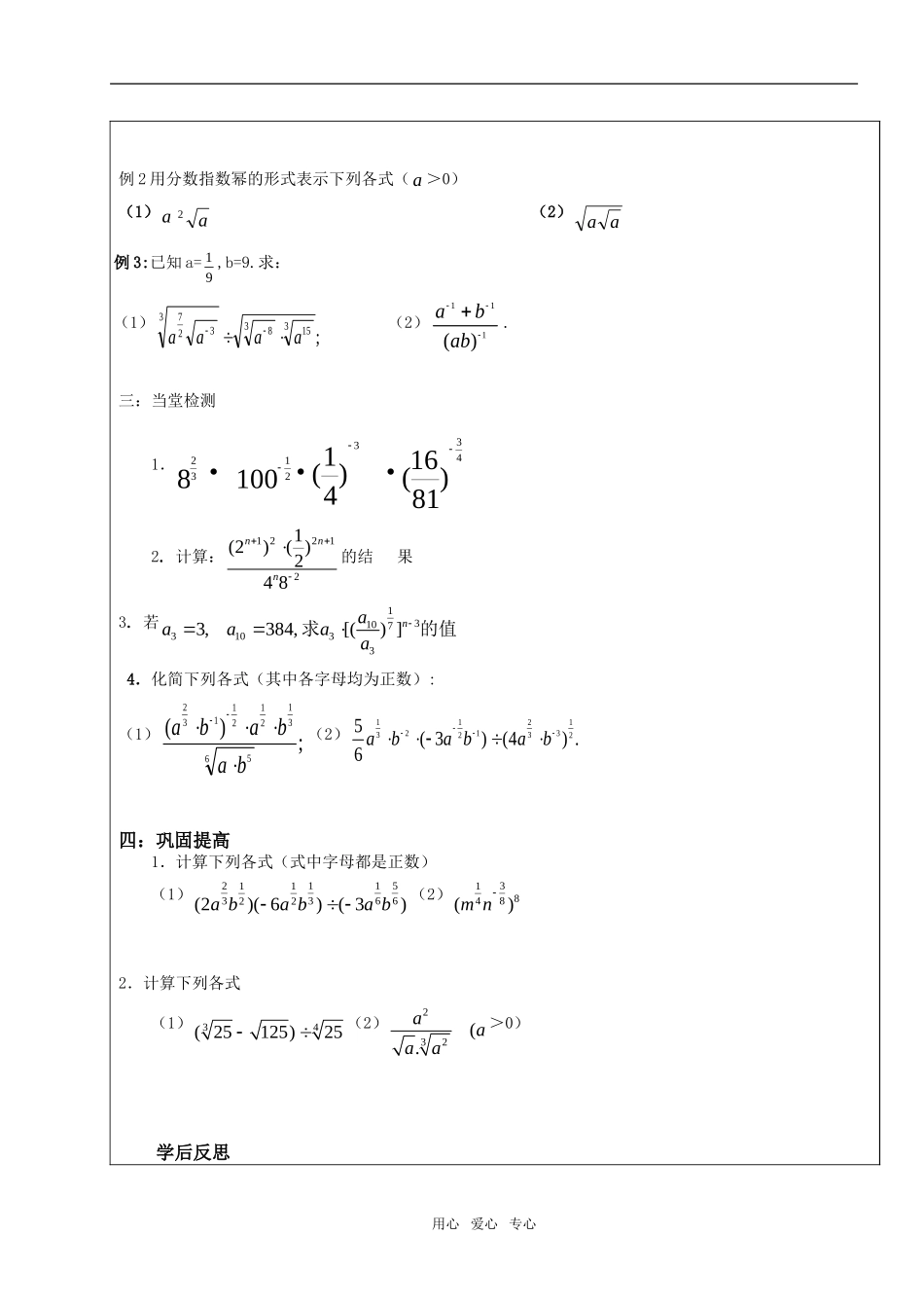
师生共用导学案年级: 高一 学科: 数学 执笔: 焦玉杰 审核:薛明坤课时及内容: 分数指数幂 (第二课时) 课型:新授课 使用时间: 10.10.23 学习目标:(1)理解分数指数幂的概念; (2)掌握分数指数幂和根式之间的互化; (3)掌握分数指数幂的运算性质;。学习重点:运用有理指数幂性质进行化简,求值.学习难点:有理指数幂性质的灵活应用. 一:课前准备:1.分数指数幂:提问:(1).预习初中时的整数指数幂,运算性质。00,1(0),0naa a aa aa   无意义 ,1(0)nnaaa;()mnm nmnmnaaaaa,(),()nmmnnnnaaaba b(2).观察以下式子,并总结出规律: .b a >0① 105102 5255()aaaa ② 884242()aaaa③2323(0)aaa ④12(0)bbb小结:根式可以写成分数作为指数的形式nma (3)我们规定正数的分数指数幂的意义为 (0,mnmnaaam 正数的定负分数指数幂的意义与负整数幂的意义相同.即:*1 (0,,)mnmnaam nNa规定:0 的正分数指数幂等于 ,0 的负分数指数幂 .(4)运算性质:① raaaasrsr,0(  (a>0, r、 sQ) ② raaasrsr,0()( (a>0, r、 sQ)③ rbababarrr,0,0()( (a>0, r、 sQ)注:上述性质对 r、 sR 均适用.二:课堂活动例 1 计算下列各式(1) 10021 ; (2)832 ; (4)9 23; (4))811(43 用心 爱心 专心班级 小组 姓名 例 2 用分数指数幂的形式表示下列各式(a >0)(1)aa2 (2)aa例 3:已知 a=91 ,b=9.求: (1);315383327aaaa (2)111)( abba.三:当堂检测1.832  100 21)41(3)8116(432. 计算:1 22121(2)( )24 8nnn的结果3. 若13107310333,384,[() ]naaaaa求的值 4.化简下列各式(其中各字母均为正数):(1);)(65312121132bababa(2).)4()3(6521332121231bababa四:巩固提高1.计算下列各式(式中字母都是正数)(1)211511336622(2)( 6)( 3)a ba ba b (2)31884()m n2.计算下列各式(1)34( 25125)25(2)232(.aaaa>0)学后反思 用心 爱心 专心 用心 爱心 专心

1、当您付费下载文档后,您只拥有了使用权限,并不意味着购买了版权,文档只能用于自身使用,不得用于其他商业用途(如 [转卖]进行直接盈利或[编辑后售卖]进行间接盈利)。
2、本站所有内容均由合作方或网友上传,本站不对文档的完整性、权威性及其观点立场正确性做任何保证或承诺!文档内容仅供研究参考,付费前请自行鉴别。
3、如文档内容存在违规,或者侵犯商业秘密、侵犯著作权等,请点击“违规举报”。

碎片内容

高中数学 分数指数幂导学案 苏教版必修1

您可能关注的文档

文章天下+ 关注
实名认证
内容提供者

各种文档应有尽有

确认删除?
VIP
微信客服
  • 扫码咨询
会员Q群
  • 会员专属群点击这里加入QQ群
客服邮箱
回到顶部