电脑桌面
添加小米粒文库到电脑桌面
安装后可以在桌面快捷访问

第18讲-数学:无穷级数微分方程(2010新版)-

第18讲-数学:无穷级数微分方程(2010新版)-_第1页
1/7
第18讲-数学:无穷级数微分方程(2010新版)-_第2页
2/7
第18讲-数学:无穷级数微分方程(2010新版)-_第3页
3/7
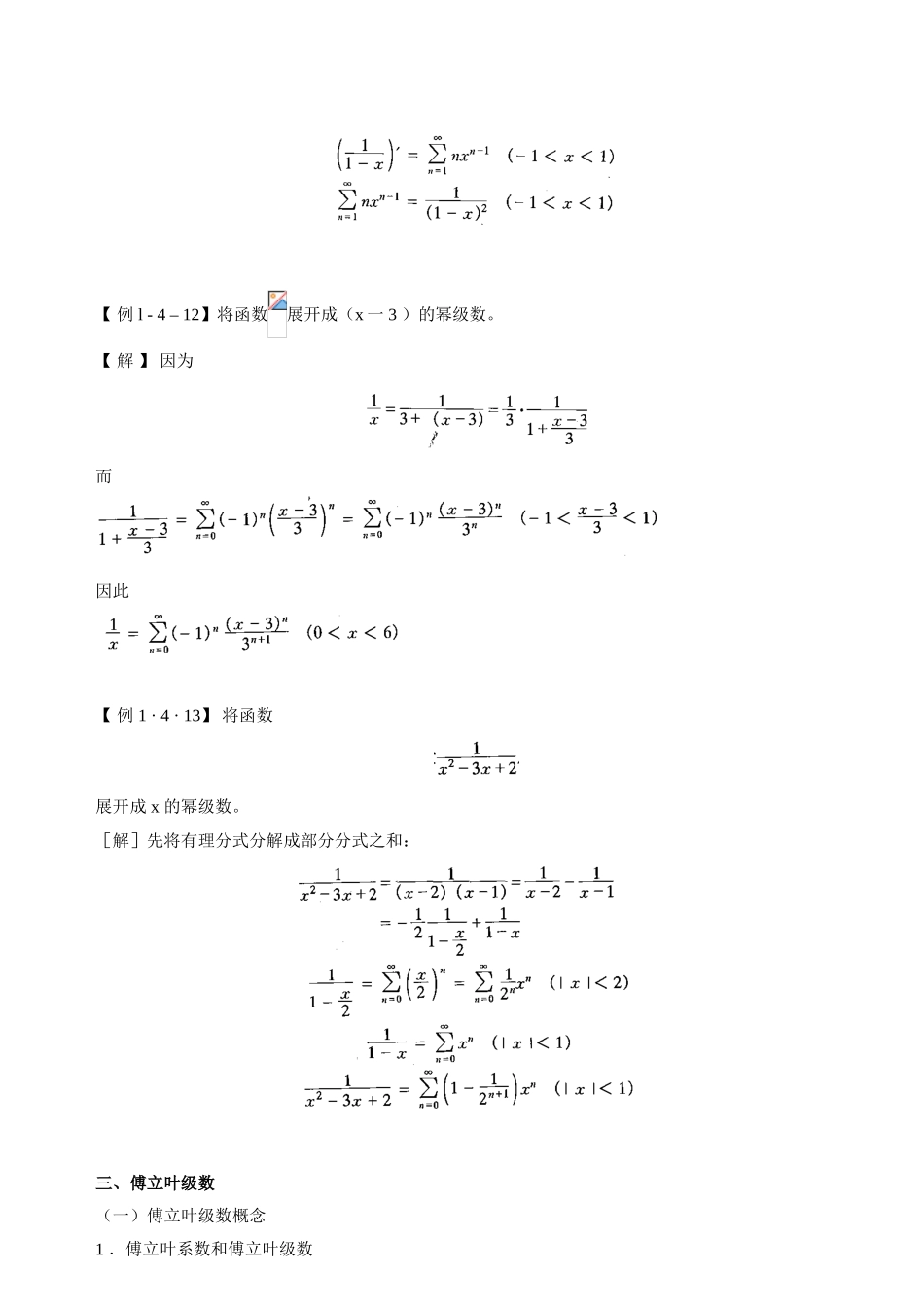
【例 l - 4 - 9 】 幂级数的收敛域是( A ) (- 1 ,l ) ( B ) (- l , 1 ) ( C ) (- l , l ) ( D ) (- l , 1 )【 解 】 易知级数收敛半径 R = l ,当 x =- 1 时,级数,当 x = 1 时,级数收敛,故应选( D )。( A )条件收敛 ( B )绝对收敛( C )发散( D )收敛性不能确定【 解 】 由的结构知其收敛区间的中心为 x = 1,已知 x = -1 为此级数的一个收敛点,设其收敛半径为 R ,则,而 x = 2 与收敛区间中心 x= 1 的距离为 1 , 1 < R ,由幂级数的收敛性(阿贝尔定理)知,此级数在 x = 2 处绝对收敛,故应选( B )。【 例 1 - 4 - 11 】利用逐项求导法求级数的和函数。【 解 】幂级数的和函数是即利用逐项求导公式,得【 例 l - 4 – 12】将函数展开成(x 一 3 )的幂级数。【 解 】 因为而因此【 例 1 · 4 · 13】 将函数展开成 x 的幂级数。[解]先将有理分式分解成部分分式之和:三、傅立叶级数(一)傅立叶级数概念 1 .傅立叶系数和傅立叶级数设 f ( x )是周期为 2π 的周期函数,则下面公式中出现的积分都存在,则系数 a0,a1, ,bl… 叫做函数 f ( x )的傅立叶系数,级数叫做函数 f ( x )的傅立叶级数。2 .狄利克雷收敛定理设 f ( x )是周期为 2 π 的周期函数,假如它满足条件: ( 1 )在一个周期内连续,或只有有限个第一类间断点;( 2 )在一个周期内至多只有有限个极值点,则 f ( x )的傅立叶级数收敛,且当 x 是 f ( x )的连续点时,级数收敛于 f( x ) ;当 x 是 f( x )的间断点时,级数收敛于(二)正弦级数和余弦级数1 .正弦级数若 f ( x )是周期为 2 π 的奇函数,则它的傅立叶系数为它的傅立叶级数是只含有正弦项的正弦级数2 .余弦级数若 f ( x )是周期为 2 π 的偶函数,则它的傅立叶系数为它的傅立叶级数是只含有常数项和余弦项的余弦级数(三)周期为 2l 的周期函数的傅立叶级数设 f ( x )是周期为 2l 的周期函数,则它的傅立叶系数为而它的傅立叶级数为(四)例题【 例 1 - 4 – 14 】 设 f( x )是周期为 2 π 的周期函数,它在 [-π,π),上的表达式为问 f ( x )的傅立叶级数在 x =-π 处收敛于何值。【 解】所给函数满足狄利...

1、当您付费下载文档后,您只拥有了使用权限,并不意味着购买了版权,文档只能用于自身使用,不得用于其他商业用途(如 [转卖]进行直接盈利或[编辑后售卖]进行间接盈利)。
2、本站所有内容均由合作方或网友上传,本站不对文档的完整性、权威性及其观点立场正确性做任何保证或承诺!文档内容仅供研究参考,付费前请自行鉴别。
3、如文档内容存在违规,或者侵犯商业秘密、侵犯著作权等,请点击“违规举报”。

碎片内容

第18讲-数学:无穷级数微分方程(2010新版)-

您可能关注的文档

领读文化+ 关注
实名认证
内容提供者

传播文化,铸就未来

相关文档

确认删除?
VIP
微信客服
  • 扫码咨询
会员Q群
  • 会员专属群点击这里加入QQ群
客服邮箱
回到顶部