电脑桌面
添加小米粒文库到电脑桌面
安装后可以在桌面快捷访问

高中数学素材:合理构造函数解导数问题

高中数学素材:合理构造函数解导数问题_第1页
1/6
高中数学素材:合理构造函数解导数问题_第2页
2/6
高中数学素材:合理构造函数解导数问题_第3页
3/6
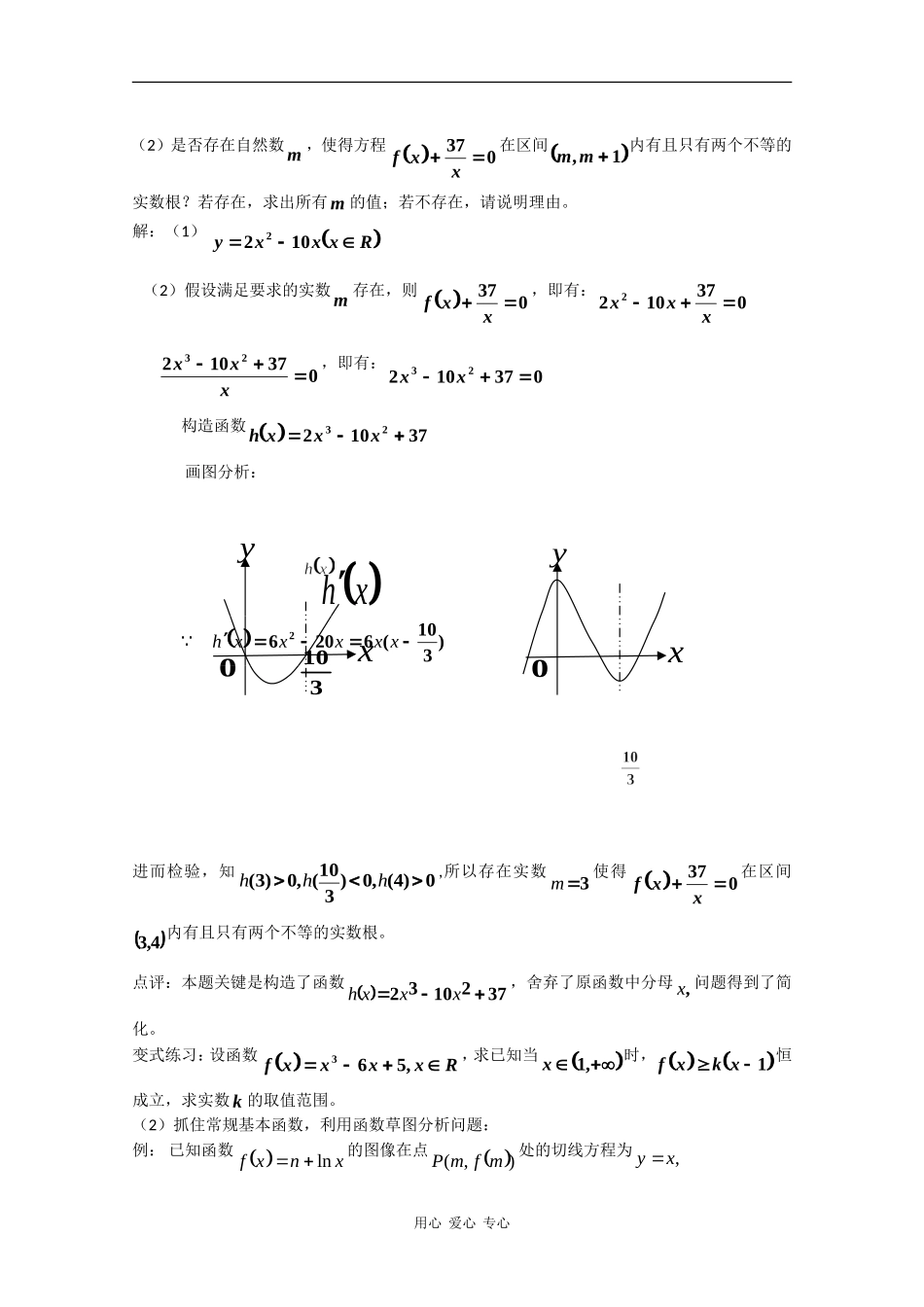
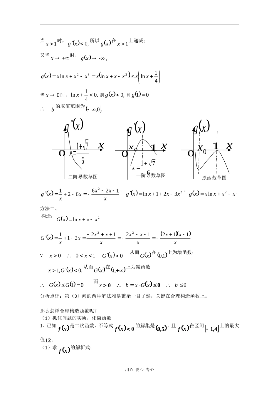
合理构造函数解导数问题 构造函数是解导数问题的基本方法,但是有时简单的构造函数对问题求解带来很大麻烦甚至是解决不了问题的,那么怎样合理的构造函数就是问题的关键,这里我们来一起探讨一下这方面问题。 例 1:(2009 年宁波市高三第三次模拟试卷 22 题)已知函数  axxxaxxf231ln.(1) 若32 为 xfy 的极值点,求实数a 的值;(2) 若 xfy 在,1上增函数,求实数a 的取值范围;(3) 若1a时,方程  xbxxf311有实根,求实数b 的取值范围。解:(1)因为32x是函数的一个极值点,所以0)32(f,进而解得:0a,经检验是符合的,所以.0a (2)显然 ,2312axxaxaxf结合定义域知道01 ax在 ,1x上恒成立,所以0a且01 axa。同时axx 232此函数是31x时递减,31x时递增, 故此我们只需要保证 02311aaaf,解得:.2510a(3)方法一、变量分离直接构造函数解:由于0x,所以:2lnxxxxb32lnxxxx 2321lnxxxxg  xxxxxxg1266212当6710 x时, ,0 xg所以 xg在6710 x上递增;当671x时, ,0 xg所以 xg在671x上递减; 又 ,01 g  .6710,000xxg当00xx 时, ,0 xg所以  xg在00xx 上递减;当10 xx时, ,0 xg所以10 xx上递增;用心 爱心 专心x xg01原函数草图0xx xg 0671x二阶导数草图x xg010x671x一阶导数草图当1x时, ,0 xg所以  xg在1x上递减;又当x时,  ,xg 41lnlnln232xxxxxxxxxxxg当0x时,,041lnx则  ,0xg且  01 gb 的取值范围为.0, xxxxxxg1266212, 2321lnxxxxg,  32lnxxxxxg方法二、 构造:  2lnxxxxG xxxxxxxxxxxxG1121212211220x 10x  0 xG 从而  xG在1,0上为增函数; ,0,1xGx从而  xG在,1上为减函数  01 GxG 而0x  0xGxb...

1、当您付费下载文档后,您只拥有了使用权限,并不意味着购买了版权,文档只能用于自身使用,不得用于其他商业用途(如 [转卖]进行直接盈利或[编辑后售卖]进行间接盈利)。
2、本站所有内容均由合作方或网友上传,本站不对文档的完整性、权威性及其观点立场正确性做任何保证或承诺!文档内容仅供研究参考,付费前请自行鉴别。
3、如文档内容存在违规,或者侵犯商业秘密、侵犯著作权等,请点击“违规举报”。

碎片内容

高中数学素材:合理构造函数解导数问题

您可能关注的文档

文章天下+ 关注
实名认证
内容提供者

各种文档应有尽有

确认删除?
VIP
微信客服
  • 扫码咨询
会员Q群
  • 会员专属群点击这里加入QQ群
客服邮箱
回到顶部