电脑桌面
添加小米粒文库到电脑桌面
安装后可以在桌面快捷访问

水土保持工程质量评定附表、报告格式、单元工程质量评定表

水土保持工程质量评定附表、报告格式、单元工程质量评定表_第1页
1/159
水土保持工程质量评定附表、报告格式、单元工程质量评定表_第2页
2/159
水土保持工程质量评定附表、报告格式、单元工程质量评定表_第3页
3/159
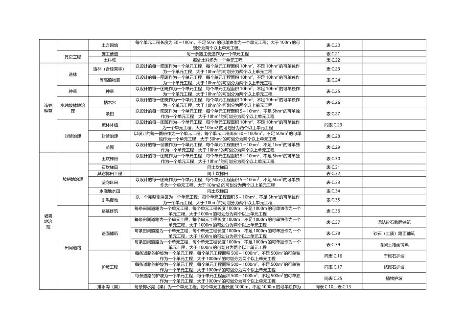
附录 A 附表表 A-1 水土保持生态建设工程质量评定项目划分表单位工程分部工程单元工程名称单元工程划分原则质量评定表格备注淤地坝(小型淤地坝和拦砂坝)基础处理土质坝基及岸坡清理每个单元工程面积 500-1000m2,不足 500m2 的可单独作为一个单元工程;大于 1000m2的可划分为两个以上单元工程。表 C.1石质坝基及岸坡清理每个单元工程面积 500-1000m2,不足 500m2 的可单独作为一个单元工程;大于 1000m2的可划分为两个以上单元工程。表 C.2土沟槽开挖及基础处理每个单元工程长度为 50~100m,不足 50m 的可单独作为一个单元工程;大于 100m 的可划分为两个以上单元工程。表 C.3石质沟槽开挖及基础处理每个单元工程长度为 50~100m,不足 50m 的可单独作为一个单元工程;大于 100m 的可划分为两个以上单元工程。表 C.4石质平洞开挖每个单元工程长度为 50~100m,不足 50m 的可单独作为一个单元工程;大于 100m 的可划分为两个以上单元工程。表 C.5坝体填筑土坝机械碾压以工程设计结构或施工检查验收的每一碾压层或作业面积划分单元工程。表 C.6水坠法填土以工程设计结构或施工检查验收的每一碾压层或作业面积划分单元工程。表 C.7坝体砌筑(浆砌石)以施工检查验收的功能段划分,每一个功能段为一个单元工程。每一个功能段长 50~100m,不足 50m 的可单独作为一个单元工程。表 C.8仅用于拦砂坝放水建筑物卧管按每处作为一个单元工程表 C.9浆砌石表 C.10现浇混凝土涵管每个单元工程长度为 50~100m,不足 50m 的可单独作为一个单元工程;大于 100m 的可划分为两个以上单元工程。表 C.11预制管安装竖井按每座作为一个单元工程浆砌石同表 C9,表 C.12-混凝土预制件浆砌石、混凝土预制件明渠每个单元工程长度为 50~100m,不足 50m 的可单独作为一个单元工程;大于 100m 的可划分为两个以上单元工程。表 C.13、现浇混凝土明渠同表 C.10浆砌石明渠、现浇混凝土明渠消力池按每座作为一个单元工程同表 C.9、表 C.10浆砌石、现浇混凝土海曼每个单元工程长度为 50~100m,不足 50m 的可单独作为一个单元工程;大于 100m 的可划分为两个以上单元工程。表 C.14、表 C.15干砌石、铅丝石笼坝体与坝坡排水防护坝坡防护上游坝面防护为一个单元工程,下游坝面防护为一个单元工程表 C.16、表 C.17、混凝土预制件护坡同表 C.12干砌石护坡、浆砌石护坡、混凝土预制件护坡反滤体铺设按铺设长度每...

1、当您付费下载文档后,您只拥有了使用权限,并不意味着购买了版权,文档只能用于自身使用,不得用于其他商业用途(如 [转卖]进行直接盈利或[编辑后售卖]进行间接盈利)。
2、本站所有内容均由合作方或网友上传,本站不对文档的完整性、权威性及其观点立场正确性做任何保证或承诺!文档内容仅供研究参考,付费前请自行鉴别。
3、如文档内容存在违规,或者侵犯商业秘密、侵犯著作权等,请点击“违规举报”。

碎片内容

水土保持工程质量评定附表、报告格式、单元工程质量评定表

您可能关注的文档

最好的沉淀+ 关注
实名认证
内容提供者

行业文档

确认删除?
VIP
微信客服
  • 扫码咨询
会员Q群
  • 会员专属群点击这里加入QQ群
客服邮箱
回到顶部