电脑桌面
添加小米粒文库到电脑桌面
安装后可以在桌面快捷访问

高中数学 正弦型函数、余弦型函数的性质课后练习二 新人教A版必修4VIP免费

高中数学 正弦型函数、余弦型函数的性质课后练习二 新人教A版必修4_第1页
1/5
高中数学 正弦型函数、余弦型函数的性质课后练习二 新人教A版必修4_第2页
2/5
高中数学 正弦型函数、余弦型函数的性质课后练习二 新人教A版必修4_第3页
3/5
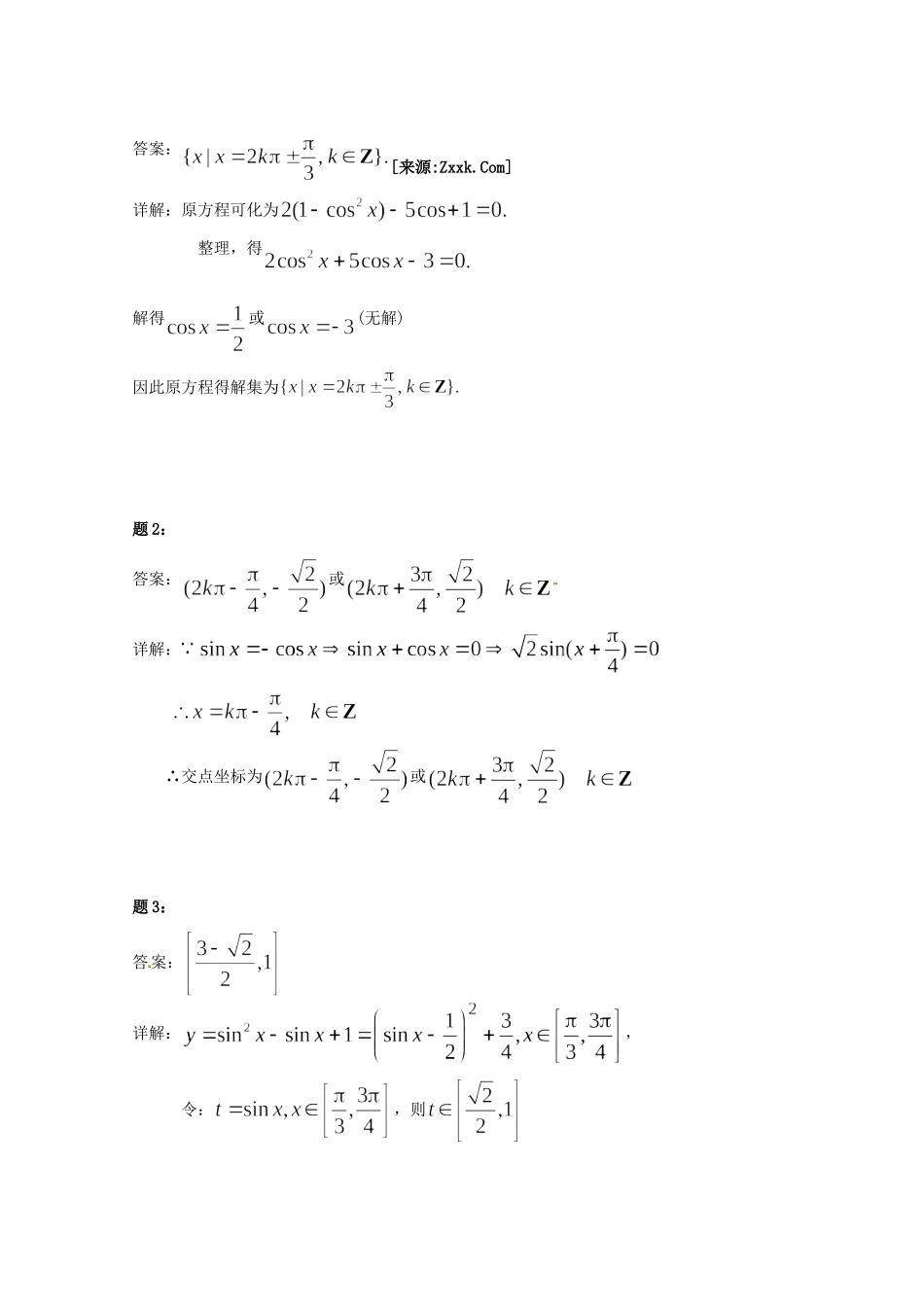
题1:题面:解下列三角方程:.题2:题面:函数y=sinx与y=-cosx图象交点的坐标为.题3:题面:函数的值域是.题4:题面:下列命题中(1)y=cosx的图象向左平移,得y=sinx的图象(2)y=sinx的图象向上平移2个单位,得y=sin(x+2)的图象(3)y=cosx的图象向左平移φ个单位,可得y=cos(x+φ)的图象(4)y=sin(x+)的图象由y=sinx的图象向左平移个单位得到正确命题的序号是.题5:题面:已知函数f(x)=sinx,g(x)=cosx,则下列结论中正确的是()A.函数y=f(x)·g(x)是偶函数B.函数y=f(x)·g(x)的最大值为1C.将f(x)的图象向右平移个单位长度后得到g(x)的图象D.将f(x)的图象向左平移个单位长度后得到g(x)的图象题6:题面:用五点作图法,画出函数的图象.题7:题面:函数f(x)=Asin(ωx+φ)+b的图象如图,则f(x)的解析式及S=f(0)+f(1)+f(2)+…+f(2006)的值分别为()A.,S=2006B.,C.,D.,S=2007课后练习详解题1:答案:[来源:Zxxk.Com]详解:原方程可化为整理,得解得或(无解)因此原方程得解集为题2:答案:或详解:∴交点坐标为或题3:答案:详解:,令:,则∵为增函数;∴题4:答案:(3)、(4)详解:(1)y=cosx的图象向右平移,得y=sinx的图象(2)y=sinx的图象向上平移2个单位,得y=sinx+2的图象[来源:Zxxk.Com]题5:答案:D.详解:∵f(x)=sinx是奇函数,g(x)=cosx是偶函数,∴y=f(x)·g(x)是奇函数.故A错;∵y=f(x)·g(x)=sinx·cosx=·sin2x,∴y=f(x)·g(x)的最大值为.故B错;∵,∴将f(x)=sinx的图象向左平移个单位长度后得到g(x)的图象.故选D.题6:答案:见详解.详解:描点法作图:题7:答案:B详解:观察题中图象可知,,f(0)=1,,f(2)=1,,f(4)=1,∴f(x)以4为周期.f(0)+f(1)+f(2)+f(3)=4,2006=4×501+2,∴f(0)+f(1)+f(2)+f(3)+…+f(2006)=4×501+f(2004)+f(2005)+f(2006).故选B.

1、当您付费下载文档后,您只拥有了使用权限,并不意味着购买了版权,文档只能用于自身使用,不得用于其他商业用途(如 [转卖]进行直接盈利或[编辑后售卖]进行间接盈利)。
2、本站所有内容均由合作方或网友上传,本站不对文档的完整性、权威性及其观点立场正确性做任何保证或承诺!文档内容仅供研究参考,付费前请自行鉴别。
3、如文档内容存在违规,或者侵犯商业秘密、侵犯著作权等,请点击“违规举报”。

碎片内容

高中数学 正弦型函数、余弦型函数的性质课后练习二 新人教A版必修4

您可能关注的文档

文章天下+ 关注
实名认证
内容提供者

各种文档应有尽有

确认删除?
VIP
微信客服
  • 扫码咨询
会员Q群
  • 会员专属群点击这里加入QQ群
客服邮箱
回到顶部