电脑桌面
添加小米粒文库到电脑桌面
安装后可以在桌面快捷访问

(完整版)20052017年浙江高考理科数学历年真题之解析几何大题(教师版)VIP免费

(完整版)20052017年浙江高考理科数学历年真题之解析几何大题(教师版)_第1页
1/15
(完整版)20052017年浙江高考理科数学历年真题之解析几何大题(教师版)_第2页
2/15
(完整版)20052017年浙江高考理科数学历年真题之解析几何大题(教师版)_第3页
3/15
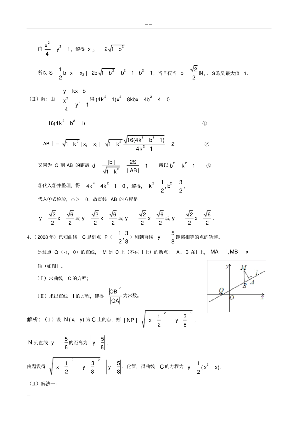
———浙江高考历年真题之解析几何大题(教师版)1、(2005年)如图,已知椭圆的中心在坐标原点,焦点12,FF在x轴上,长轴12AA的长为4,左准线l与x轴的交点为M,|MA1|∶|A1F1|=2∶1.(Ⅰ)求椭圆的方程;(Ⅱ)若直线1l:x=m(|m|>1),P为1l上的动点,使12FPF最大的点P记为Q,求点Q的坐标(用m表示).解析:(Ⅰ)设椭圆方程为222210xyabab,半焦距为c,则2111,aMAaAFacc,2222224aaaccaabc由题意,得2,3,1abc,221.43xy故椭圆方程为(Ⅱ)设0,,||1Pmym,当00y时,120FPF;当00y时,22102FPFPFM,只需求22tanFPF的最大值即可设直线1PF的斜率011ykm,直线2PF的斜率021ykm,002122222212002||2||1tan1121||1yykkFPFkkmymym当且仅当201||my时,12FPF最大,2,1,||1Qmmm2、(2006年)如图,椭圆byax222=1(a>b>0)与过点A(2,0)、B(0,1)的直线有且只有一个公共点T,且椭圆的离心率e=23。(Ⅰ)求椭圆方程;(Ⅱ)设F1、F2分别为椭圆的左、右焦点,M为线段AF2的中点,求证:∠ATM=∠AF1T。———解析:(Ⅰ)过A、B的直线方程为12xy因为由题意得12112222xybyax有惟一解,即0)41(2222222baaxaxab有惟一解,所以2222(44)0(0),ababab故4422ba=0又因为e32c,即22234aba,所以224ab从而得2212,,2ab故所求的椭圆方程为22212xy(Ⅱ)由(Ⅰ)得62c,所以1266(,0),(,0)22FF,从而M(1+46,0)由12112222xyyx,解得121,xx因此1(1,)2T因为126tan1TAF,又21tanTAM,62tan2TMF,得1266112162tanATM,因此,TAFATM13、(2007年)如图,直线ykxb与椭圆2214xy交于AB,两点,记AOB△的面积为S.(I)求在0k,01b的条件下,S的最大值;(II)当2AB,1S时,求直线AB的方程.解析:(I)设点A的坐标为1()xb,,点B的坐标为2()xb,.———由2214xy,解得21,221xb所以222121||21112Sbxxbbbb,当且仅当22b时,.S取到最大值1.(Ⅱ)解:由2214ykxbxy得222(41)8440kxkbxb2216(41)kb①|AB|=222212216(41)1||1241kbkxxkk②又因为O到AB的距离2||21||1bSdABk所以221bk③③代入②并整理,得424410kk,解得,2213,22kb,代入①式检验,△>0,故直线AB的方程是2622yx或2622yx或2622yx或2622yx.4、(2008年)已知曲线C是到点P(83,21)和到直线85y距离相等的点的轨迹。是过点Q(-1,0)的直线,M是C上(不在l上)的动点;A、B在l上,,MAlMBx轴(如图)。(Ⅰ)求曲线C的方程;(Ⅱ)求出直线l的方程,使得QAQB2为常数。解析:(Ⅰ)设()Nxy,为C上的点,则2213||28NPxy,N到直线58y的距离为58y.由题设得22135288xyy.化简,得曲线C的方程为21()2yxx.(Ⅱ)解法一:———设22xxMx,,直线:lykxk,则()Bxkxk,,从而2||1|1|QBkx.在RtQMA△中,因为222||(1)14xQMx,2222(1)2||1xxkMAk.所以222222(1)||||||(2)4(1)xQAQMMAkxk.2|1||2|||21xkxQAkg,222||2(1)112||||QBkkxQAkxkg.当2k时,2||55||QBQA,从而所求直线l方程为220xy.解法二:设22xxMx,,直线:lykxk,则()Bxkxk,,从而2||1|1|QBkx.过(10),垂直于l的直线11:(1)lyxk.因为||||QAMH,所以2|1||2|||21xkxQAkg,222||2(1)112||||QBkkxQAkxkg.当2k时,2||55||QBQA,从而所求直线l方程为220xy.5、(2009年)已知椭圆1C:22221(0)yxabab的右顶点为(1,0)A,过1C的焦点且垂直长轴的弦长为1.(I)求椭圆1C的方程;(II)设点P在抛物线2C:2()yxhhR上,2C在点P处的切线与1C交于点,MN.当线段AP的中点与MN的中点的横坐标相等时,求h的最小值.ABOQyxlMABOQyxlMHl1———解析:(Ⅰ)解:由题意,得2121bba,·.从而21ab,.因此,所求的椭圆方程为2214yx.(Ⅱ)解:如图,设21122()()()MxyNxyPtth,,,,,,则抛物线2C在点P处的切线斜率为|2xtyt.直线MN的方程为:22ytxth.将上式代入椭圆1C的方程中,得2224(2)40xtxth.即222224(1)4()()40txtthxth.①因为直线MN与椭圆1C有两个不同的交点,所以①式中的422116[2(2)4]0thth.②设线段MN的中点的横坐标是3x,则21232()22(1)xxtthxt.设线段PA的中点的横坐标是4x,则412tx.由题意,得34xx,即2(1)10tht.③由③式中的22(1)40h≥,得1h≥,或3h≤.当3h≤时,22040hh,.则不等式②不成立,所以1h≥.当1h时,代入...

1、当您付费下载文档后,您只拥有了使用权限,并不意味着购买了版权,文档只能用于自身使用,不得用于其他商业用途(如 [转卖]进行直接盈利或[编辑后售卖]进行间接盈利)。
2、本站所有内容均由合作方或网友上传,本站不对文档的完整性、权威性及其观点立场正确性做任何保证或承诺!文档内容仅供研究参考,付费前请自行鉴别。
3、如文档内容存在违规,或者侵犯商业秘密、侵犯著作权等,请点击“违规举报”。

碎片内容

(完整版)20052017年浙江高考理科数学历年真题之解析几何大题(教师版)

爱的疯狂+ 关注
实名认证
内容提供者

该用户很懒,什么也没介绍

确认删除?
VIP
微信客服
  • 扫码咨询
会员Q群
  • 会员专属群点击这里加入QQ群
客服邮箱
回到顶部