电脑桌面
添加小米粒文库到电脑桌面
安装后可以在桌面快捷访问

成都至全国各地市县州公路里程表VIP免费

成都至全国各地市县州公路里程表_第1页
1/6
成都至全国各地市县州公路里程表_第2页
2/6
成都至全国各地市县州公路里程表_第3页
3/6
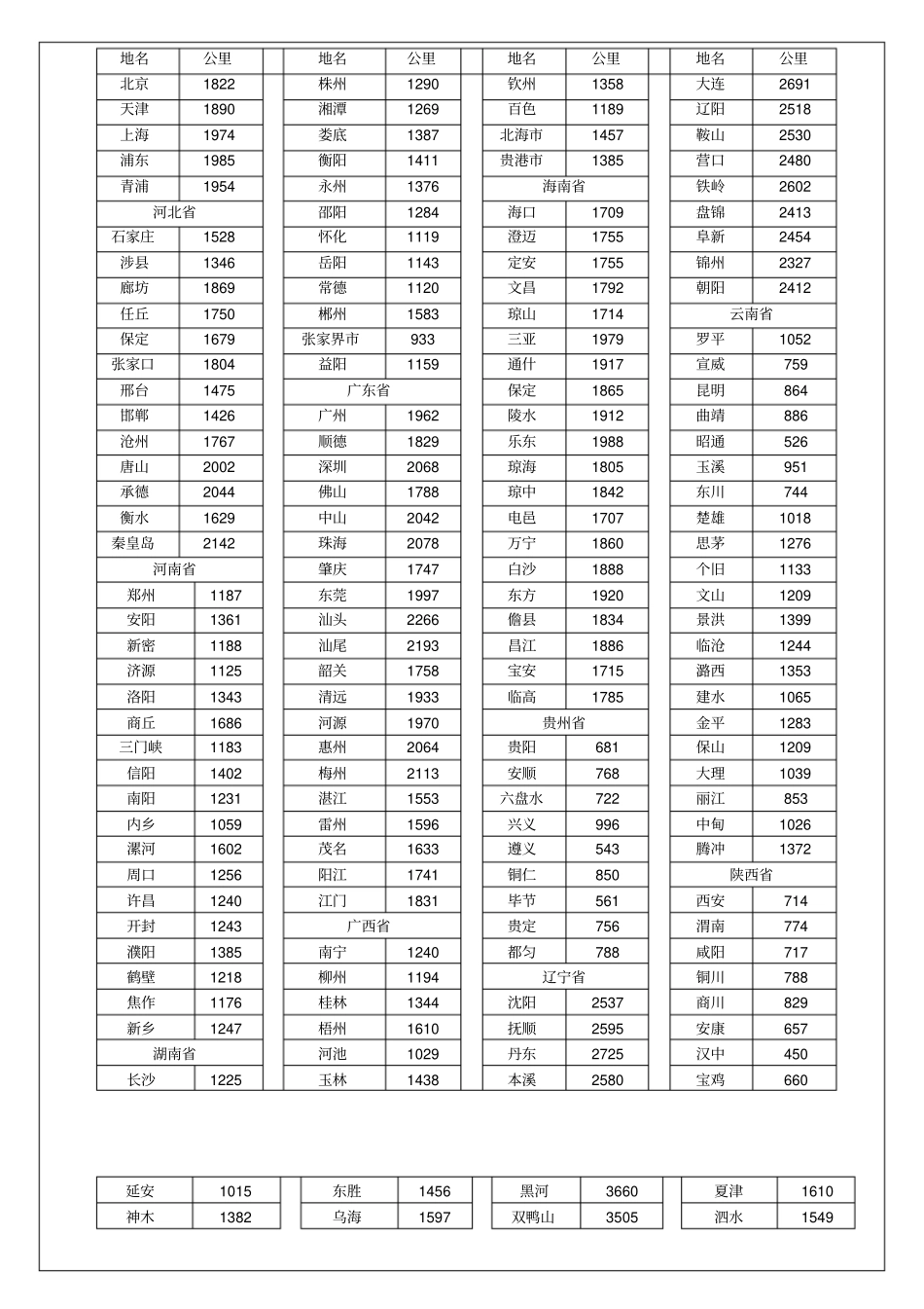
地名公里地名公里地名公里地名公里北京1822株州1290钦州1358大连2691天津1890湘潭1269百色1189辽阳2518上海1974娄底1387北海市1457鞍山2530浦东1985衡阳1411贵港市1385营口2480青浦1954永州1376海南省铁岭2602河北省邵阳1284海口1709盘锦2413石家庄1528怀化1119澄迈1755阜新2454涉县1346岳阳1143定安1755锦州2327廊坊1869常德1120文昌1792朝阳2412任丘1750郴州1583琼山1714云南省保定1679张家界市933三亚1979罗平1052张家口1804益阳1159通什1917宣威759邢台1475广东省保定1865昆明864邯郸1426广州1962陵水1912曲靖886沧州1767顺德1829乐东1988昭通526唐山2002深圳2068琼海1805玉溪951承德2044佛山1788琼中1842东川744衡水1629中山2042电邑1707楚雄1018秦皇岛2142珠海2078万宁1860思茅1276河南省肇庆1747白沙1888个旧1133郑州1187东莞1997东方1920文山1209安阳1361汕头2266儋县1834景洪1399新密1188汕尾2193昌江1886临沧1244济源1125韶关1758宝安1715潞西1353洛阳1343清远1933临高1785建水1065商丘1686河源1970贵州省金平1283三门峡1183惠州2064贵阳681保山1209信阳1402梅州2113安顺768大理1039南阳1231湛江1553六盘水722丽江853内乡1059雷州1596兴义996中甸1026漯河1602茂名1633遵义543腾冲1372周口1256阳江1741铜仁850陕西省许昌1240江门1831毕节561西安714开封1243广西省贵定756渭南774濮阳1385南宁1240都匀788咸阳717鹤壁1218柳州1194辽宁省铜川788焦作1176桂林1344沈阳2537商川829新乡1247梧州1610抚顺2595安康657湖南省河池1029丹东2725汉中450长沙1225玉林1438本溪2580宝鸡660延安1015东胜1456黑河3660夏津1610神木1382乌海1597双鸭山3505泗水1549榆林1283青海省湖北省章丘1761潼关859西宁1214武汉1146莱芜1653甘肃省平安1182鄂州1218崂山1966兰州978尖扎861黄石1235威海2210天水671门源1361孝感1146山西省平凉1002同仁832江陵977太源1118定西877共和1354沙市940阳泉1423临夏817宁夏回族自治区宜昌864榆次1337武威1247银川1444恩施631长治1268成县615石嘴山1509襄樊782晋城1172嘉峪关1702吴忠1354十堰1008临汾1078金昌1347固原1085咸宁1193运城951张掖1480吉林省荆门948离石1331酒泉1684长春2823山东省忻州1413西藏自治区吉林2930济南1603大同1609拉萨2096四平2726青州1851安微省林芝1693白城3171新泰1672合肥1514昌都1243辽源2790德州1682蚌埠1640那曲1983通化2801淄博1804芜湖1647日喀则2362浑江2860青岛1964淮南1564新疆自治区延吉3237聊城1561马鞍山1695乌鲁木齐2880九台2890荷泽1367安庆1491哈密2308德惠2917济宁1482宿州1581吐鲁番2696公主岭2769枣庄1611阜阳1523库尔勒3083农安2902临沂1675黄山市1653昌吉2913松原2997泰安1604铜陵1604塔城3417长岭2845曲阜1520宣洲1403喀什4083蛟河3018东营1918六安1433阿勒泰3220敦化3116潍坊1899巢湖1589和田4020黑龙江省高密1972浙江省内蒙古自治区哈尔滨3093烟台2148杭州1858呼和浩特1863佳木斯3429滨州1812湖州1867包头1560鸡西3542沂水1707嘉兴1957集宁1743牡丹江3377蒙阴1627宁波2106锡林浩特2207鹤岗3494庆云1782绍兴1932赤峰2246绥化3195平邑1583台州2038乌兰浩特3256伊春3412滕州1576温州2016通辽2693齐齐哈尔3392兖州1502丽水1918金华1820南平1909赣州1728德阳市衢州1742建阳1873景德镇1506旌阳区73.3龙游1774古田2035萍乡1374广汉市47.9余杭1894江苏省新余1480什邡市74萧山1888南京1681庐山1369绵竹市102富阳1883镇江1755成都市罗江县96.4建德1816苏州1885青白江48.7中江县109临安1815南通1959新都37.2德阳市德清1905扬州1752温江区27.1旌阳区73.3嘉善1973盐城1843都江堰23.2广汉市47.9海盐2002徐州1546彭州23.9什邡市74桐乡1925淮阴1720邛崃85.1绵竹市102象山2219连云港1738崇州市47.4罗江县96.4宁海2175常州1799金堂72.1中江县109奉化2121无锡1844双流32.4绵阳市余姚1994丹阳1755大邑61.1涪城区129慈溪2057扬中1786蒲江107游仙区135东阳1881金檀1986新津县70.9江油市158上虞1965溧阳1773龙泉61.7三台县157嵊州1948常熟1886自贡市盐亭县206诸暨1914张家港1864自流井221安县126舟山2174吴江1906贡井区267梓潼县181岱山21...

1、当您付费下载文档后,您只拥有了使用权限,并不意味着购买了版权,文档只能用于自身使用,不得用于其他商业用途(如 [转卖]进行直接盈利或[编辑后售卖]进行间接盈利)。
2、本站所有内容均由合作方或网友上传,本站不对文档的完整性、权威性及其观点立场正确性做任何保证或承诺!文档内容仅供研究参考,付费前请自行鉴别。
3、如文档内容存在违规,或者侵犯商业秘密、侵犯著作权等,请点击“违规举报”。

碎片内容

成都至全国各地市县州公路里程表

您可能关注的文档

确认删除?
VIP
微信客服
  • 扫码咨询
会员Q群
  • 会员专属群点击这里加入QQ群
客服邮箱
回到顶部