电脑桌面
添加小米粒文库到电脑桌面
安装后可以在桌面快捷访问

圆锥曲线试题三VIP免费

圆锥曲线试题三_第1页
1/3
圆锥曲线试题三_第2页
2/3
圆锥曲线试题三_第3页
3/3
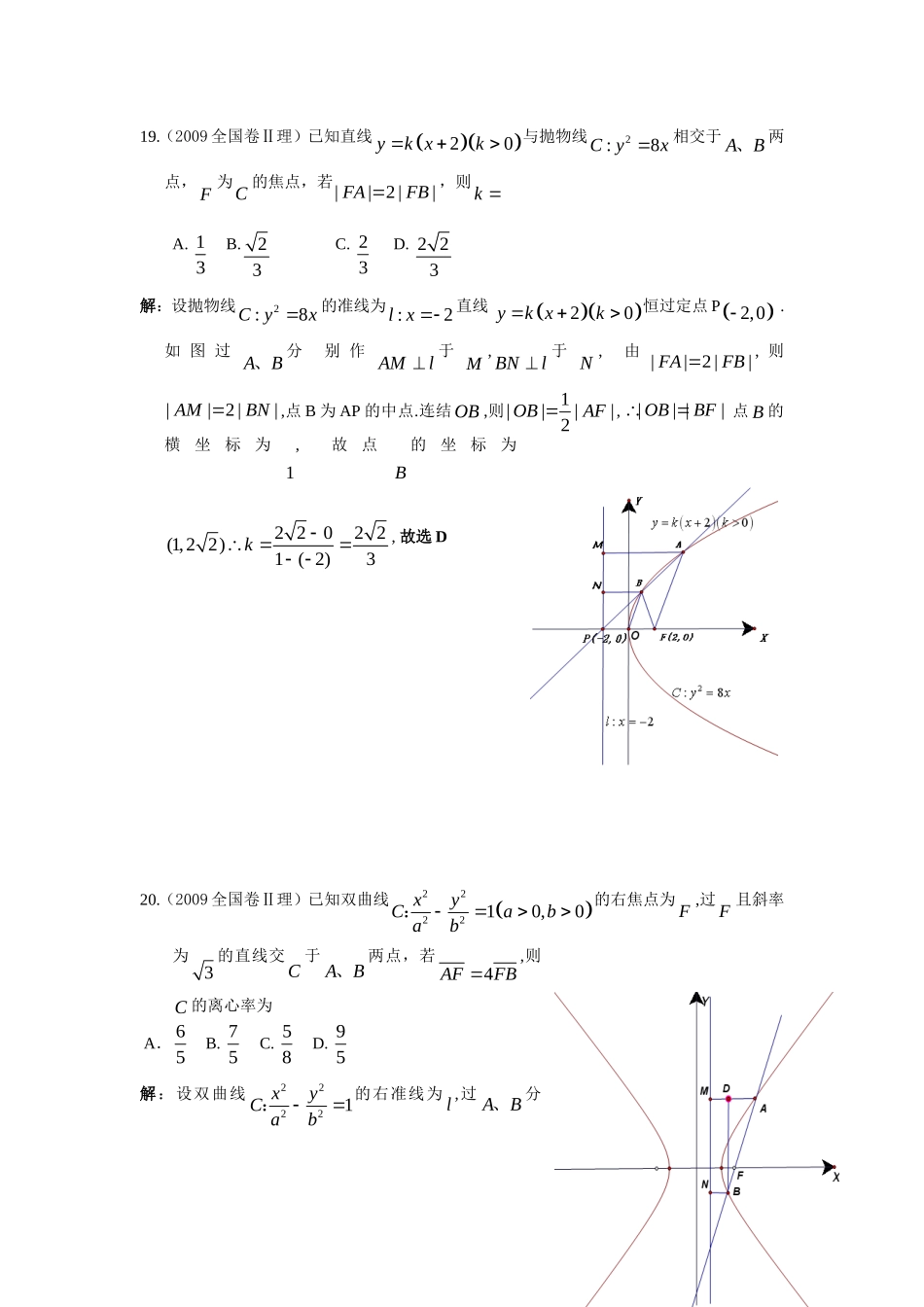
19.(2009全国卷Ⅱ理)已知直线20ykxk与抛物线2:8Cyx相交于AB、两点,F为C的焦点,若||2||FAFB,则kA.13B.23C.23D.223解:设抛物线2:8Cyx的准线为:2lx直线20ykxk恒过定点P2,0.如图过AB、分别作AMl于M,BNl于N,由||2||FAFB,则||2||AMBN,点B为AP的中点.连结OB,则1||||2OBAF,||||OBBF点B的横坐标为1,故点B的坐标为22022(1,22)1(2)3k,故选D20.(2009全国卷Ⅱ理)已知双曲线222210,0xyCabab:的右焦点为F,过F且斜率为3的直线交C于AB、两点,若4AFFB,则C的离心率为w.w.w.k.s.5.u.c.o.mA.65B.75C.58D.95解:设双曲线22221xyCab:的右准线为l,过AB、分别作AMl于M,BNl于N,BDAMD于,由直线AB的斜率为3,知直线AB的倾斜角为16060,||||2BADADAB,由双曲线的第二定义有1||||||(||||)AMBNADAFFBe�11||(||||)22ABAFFB�.又15643||||25AFFBFBFBee�故选A21.(2009湖南卷文)抛物线28yx的焦点坐标是【B】A.(2,0)B.(-2,0)C.(4,0)D.(-4,0)解:由28yx,易知焦点坐标是(,0)(2,0)2p,故选B.22.(2009辽宁卷文)已知圆C与直线x-y=0及x-y-4=0都相切,圆心在直线x+y=0上,则圆C的方程为(A)22(1)(1)2xy(B)22(1)(1)2xy(C)22(1)(1)2xy(D)22(1)(1)2xy【解析】圆心在x+y=0上,排除C、D,再结合图象,或者验证A、B中圆心到两直线的距离等于半径即可.【答案】B23.(2009宁夏海南卷理)双曲线24x-212y=1的焦点到渐近线的距离为(A)23(B)2(C)3(D)1解析:双曲线24x-212y=1的焦点(4,0)到渐近线3yx的距离为340232d,选A24.(2009宁夏海南卷理)设已知抛物线C的顶点在坐标原点,焦点为F(1,0),直线l与抛物线C相交于A,B两点。若AB的中点为(2,2),则直线的方程为_____________.解析:抛物线的方程为24yx,2111122122222212121212124,,,,4441yxAxyBxyxxyxyyyyxxxxyy则有,两式相减得,,直线l的方程为y-2=x-2,即y=x答案:y=x25.(2009陕西卷文)过原点且倾斜角为60的直线被圆学2240xyy所截得的弦长为科网(A)3(B)2(C)6(D)23答案:D.解析:22,(2)4xxy直线方程y=3圆的标准方程,圆心(0,2)到直线的距离223021(3)(1)d,由垂径定理知所求弦长为*2222123d故选D.

1、当您付费下载文档后,您只拥有了使用权限,并不意味着购买了版权,文档只能用于自身使用,不得用于其他商业用途(如 [转卖]进行直接盈利或[编辑后售卖]进行间接盈利)。
2、本站所有内容均由合作方或网友上传,本站不对文档的完整性、权威性及其观点立场正确性做任何保证或承诺!文档内容仅供研究参考,付费前请自行鉴别。
3、如文档内容存在违规,或者侵犯商业秘密、侵犯著作权等,请点击“违规举报”。

碎片内容

圆锥曲线试题三

您可能关注的文档

确认删除?
VIP
微信客服
  • 扫码咨询
会员Q群
  • 会员专属群点击这里加入QQ群
客服邮箱
回到顶部