电脑桌面
添加小米粒文库到电脑桌面
安装后可以在桌面快捷访问

和差求值——两角和差、倍角公式典型例题.docVIP免费

和差求值——两角和差、倍角公式典型例题.doc_第1页
1/4
和差求值——两角和差、倍角公式典型例题.doc_第2页
2/4
和差求值——两角和差、倍角公式典型例题.doc_第3页
3/4
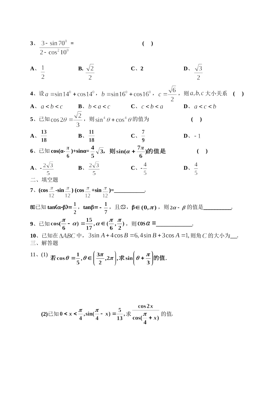
三角部分(2)——两角和差、倍角公式一、典型例题:例1、公式应用(特殊角)1)sin120cos180+cos120sin180=2)sin150-sin750=3)tan170+tan280+tan170tan280=例2、知值求值1)如果,那么cos(+)的值等于。2)锐角满足,求的值。例3、知值求角设α、β为钝角,且sinα=,cosβ=-,则α+β的值为例4、倍半角公式的应用1)已知sin=,cos=-,则角α终边所在的象限是2)cos=,,则的值是3)若θ∈(,),化简:的结果为4)已知tan=3,则cosα=tan=_______例5、综合应用已知cos(α+)=,≤α<,求cos(2α+)的值.例6新疆源头学子小屋特级教师王新敞http://www.xjktyg.com/wxc/wxckt@126.comwxckt@126.comhttp://www.xjktyg.com/wxc/王新敞特级教师源头学子小屋新疆已知△ABC的内角满足,若,且满足:,,为的夹角新疆源头学子小屋特级教师王新敞http://www.xjktyg.com/wxc/wxckt@126.comwxckt@126.comhttp://www.xjktyg.com/wxc/王新敞特级教师源头学子小屋新疆求新疆源头学子小屋特级教师王新敞http://www.xjktyg.com/wxc/wxckt@126.comwxckt@126.comhttp://www.xjktyg.com/wxc/王新敞特级教师源头学子小屋新疆例7新疆源头学子小屋特级教师王新敞http://www.xjktyg.com/wxc/wxckt@126.comwxckt@126.comhttp://www.xjktyg.com/wxc/王新敞特级教师源头学子小屋新疆已知函数(1)写出函数的单调递减区间;(2)设,的最小值是,最大值是,求实数的值新疆源头学子小屋特级教师王新敞http://www.xjktyg.com/wxc/wxckt@126.comwxckt@126.comhttp://www.xjktyg.com/wxc/王新敞特级教师源头学子小屋新疆二、课后练习一、选择题1、已知,,则()A、B、C、D、2、()A、B、C、D、3、=()A、B.C、2D、4、设,,,则大小关系()A、B、C、D、5、已知,则的值为()A、B、C、D、6、已知cos(α-)+sinα=()A、-B、C、-D、二、填空题7、(cos-sin)(cos+sin)=___________新疆源头学子小屋特级教师王新敞http://www.xjktyg.com/wxc/wxckt@126.comwxckt@126.comhttp://www.xjktyg.com/wxc/王新敞特级教师源头学子小屋新疆、已知tan,tan,且,,则的值是新疆源头学子小屋特级教师王新敞http://www.xjktyg.com/wxc/wxckt@126.comwxckt@126.comhttp://www.xjktyg.com/wxc/王新敞特级教师源头学子小屋新疆9、已知,则_____________新疆源头学子小屋特级教师王新敞http://www.xjktyg.com/wxc/wxckt@126.comwxckt@126.comhttp://www.xjktyg.com/wxc/王新敞特级教师源头学子小屋新疆10、已知在中,则角的大小为新疆源头学子小屋特级教师王新敞http://www.xjktyg.com/wxc/wxckt@126.comwxckt@126.comhttp://www.xjktyg.com/wxc/王新敞特级教师源头学子小屋新疆三、解答题11、(1)(2)已知求的值新疆源头学子小屋特级教师王新敞http://www.xjktyg.com/wxc/wxckt@126.comwxckt@126.comhttp://www.xjktyg.com/wxc/王新敞特级教师源头学子小屋新疆12、已知函数(1)求的值;(2)设新疆源头学子小屋特级教师王新敞http://www.xjktyg.com/wxc/wxckt@126.comwxckt@126.comhttp://www.xjktyg.com/wxc/王新敞特级教师源头学子小屋新疆求的值。13、已知函数(1)当时,求的单调递增区间;(2)当且时,的值域是求的值新疆源头学子小屋特级教师王新敞http://www.xjktyg.com/wxc/wxckt@126.comwxckt@126.comhttp://www.xjktyg.com/wxc/王新敞特级教师源头学子小屋新疆

1、当您付费下载文档后,您只拥有了使用权限,并不意味着购买了版权,文档只能用于自身使用,不得用于其他商业用途(如 [转卖]进行直接盈利或[编辑后售卖]进行间接盈利)。
2、本站所有内容均由合作方或网友上传,本站不对文档的完整性、权威性及其观点立场正确性做任何保证或承诺!文档内容仅供研究参考,付费前请自行鉴别。
3、如文档内容存在违规,或者侵犯商业秘密、侵犯著作权等,请点击“违规举报”。

碎片内容

和差求值——两角和差、倍角公式典型例题.doc

您可能关注的文档

文章天下+ 关注
实名认证
内容提供者

各种文档应有尽有

相关文档

确认删除?
VIP
微信客服
  • 扫码咨询
会员Q群
  • 会员专属群点击这里加入QQ群
客服邮箱
回到顶部