电脑桌面
添加小米粒文库到电脑桌面
安装后可以在桌面快捷访问

专题09指数函数对数函数以及幂函数(解析版)VIP专享VIP免费

专题09指数函数对数函数以及幂函数(解析版)_第1页
1/7
专题09指数函数对数函数以及幂函数(解析版)_第2页
2/7
专题09指数函数对数函数以及幂函数(解析版)_第3页
3/7
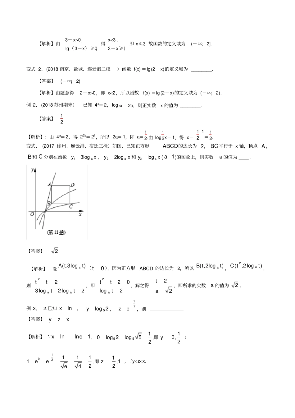
专题09指数函数对数函数以及幂函数一、指数函数的图象与性质y=axa>100时,y>1;x<0时,00时,01(6)在(-∞,+∞)上是增函数(7)在(-∞,+∞)上是减函数二、对数函数的图象与性质a>101时,y>0当01时,y<0当00(6)在(0,+∞)上是增函数(7)在(0,+∞)上是减函数三、常用的指对数变换公式:(1)nmmnaa;(2)logloglogaaaMNMN;logloglogaaaMMNN;(3)loglog0,1,0naaNnNaaN;(4)换底公式:logloglogcacbba;进而有两个推论:1loglogabba(令cb);loglogmnaanNNm;四、方法与技巧1、指对比较大小(1)知识反思:需要熟悉指数与对数函数的单调性。(2)解题反思:问题为比较两个数值得的大小,常规方法为作差法;而问确从函数思想出发,构造了两个指数函数,利用单调性从而比出数值的大小,而在(3)问中,问题层层推进,进而变式,引入中间量的方法,解决不同底数幂的大小比较问题,体现了数学思维的灵活性。(3)推而广之:比较两个数值的大小,在后续的对数函数、幂函数及三角函数学习中也有类似的问题出现,其解决问题的基本思想为函数思想,即运用对应函数的函数性质进行大小比较;2、解决对数函数综合问题时,无论是讨论函数的性质,还是利用函数的性质(1)要分清函数的底数是a∈(0,1),还是a∈(1,+∞);(2)确定函数的定义域,无论研究函数的什么性质或利用函数的某个性质,都要在其定义域上进行;(3)如果需将函数解析式变形,一定要保证其等价性,否则结论错误.例1、(2019常州期末)函数y=1-lnx的定义域为________.【答案】(0,e]【解析】由题得1-lnx≥0,lnx≤1,得00.变式1、(2019镇江期末)函数f(x)=lg(3-x)的定义域为________.【答案】(-∞,2]【解析】由3-x>0,lg(3-x)≥0,得x<3,3-x≥1,即x≤2,故函数的定义域为(-∞,2].变式2、(2018南京、盐城、连云港二模)函数f(x)=lg(2-x)的定义域为________.【答案】(-∞,2)【解析】由题意得2-x>0,即x<2,所以函数f(x)=lg(2-x)的定义域为(-∞,2).例2、(2018苏州期末)已知4a=2,logax=2a,则正实数x的值为________.【答案】12【解析】:由4a=2,得22a=21,所以2a=1,即a=12.由log12x=1,得x=121=12.变式、(2017徐州、连云港、宿迁三检)如图,已知正方形ABCD的边长为2,BC平行于x轴,顶点A,B和C分别在函数13logayx,22logayx和3logayx(1a)的图象上,则实数a的值为.【答案】2【解析】设)log3,(ttAa(0t),因为正方形ABCD的边长为2,所以)log2,(ttBa,)log2,(2ttCa,则2log2log322ttttaa,即2log022ttta,解之得22at,即所求的实数a的值为2.例3、2.已知lnx,5log2y,12ze,则【答案】yzx【解析】 lnln1xe,5510log2log52,即10,2y;102111124eee,即1,12z,∴ya-e,当x≥1时,f(x)=x+4x≥4,当且仅当x=4x,即x=2时,取“=”,故函数f(x)的值域是[e+4,+∞).解后反思解法1中,因为ex+4在x<1上没有最大值,所以要特别注意边界值e+4能否取到.变式1、(2017镇江期末)已知函数y=2x+12x+1与函数y=x+1x的...

1、当您付费下载文档后,您只拥有了使用权限,并不意味着购买了版权,文档只能用于自身使用,不得用于其他商业用途(如 [转卖]进行直接盈利或[编辑后售卖]进行间接盈利)。
2、本站所有内容均由合作方或网友上传,本站不对文档的完整性、权威性及其观点立场正确性做任何保证或承诺!文档内容仅供研究参考,付费前请自行鉴别。
3、如文档内容存在违规,或者侵犯商业秘密、侵犯著作权等,请点击“违规举报”。

碎片内容

专题09指数函数对数函数以及幂函数(解析版)

确认删除?
VIP
微信客服
  • 扫码咨询
会员Q群
  • 会员专属群点击这里加入QQ群
客服邮箱
回到顶部