电脑桌面
添加小米粒文库到电脑桌面
安装后可以在桌面快捷访问

分式的运算同步练习及答案VIP免费

分式的运算同步练习及答案_第1页
1/4
分式的运算同步练习及答案_第2页
2/4
分式的运算同步练习及答案_第3页
3/4
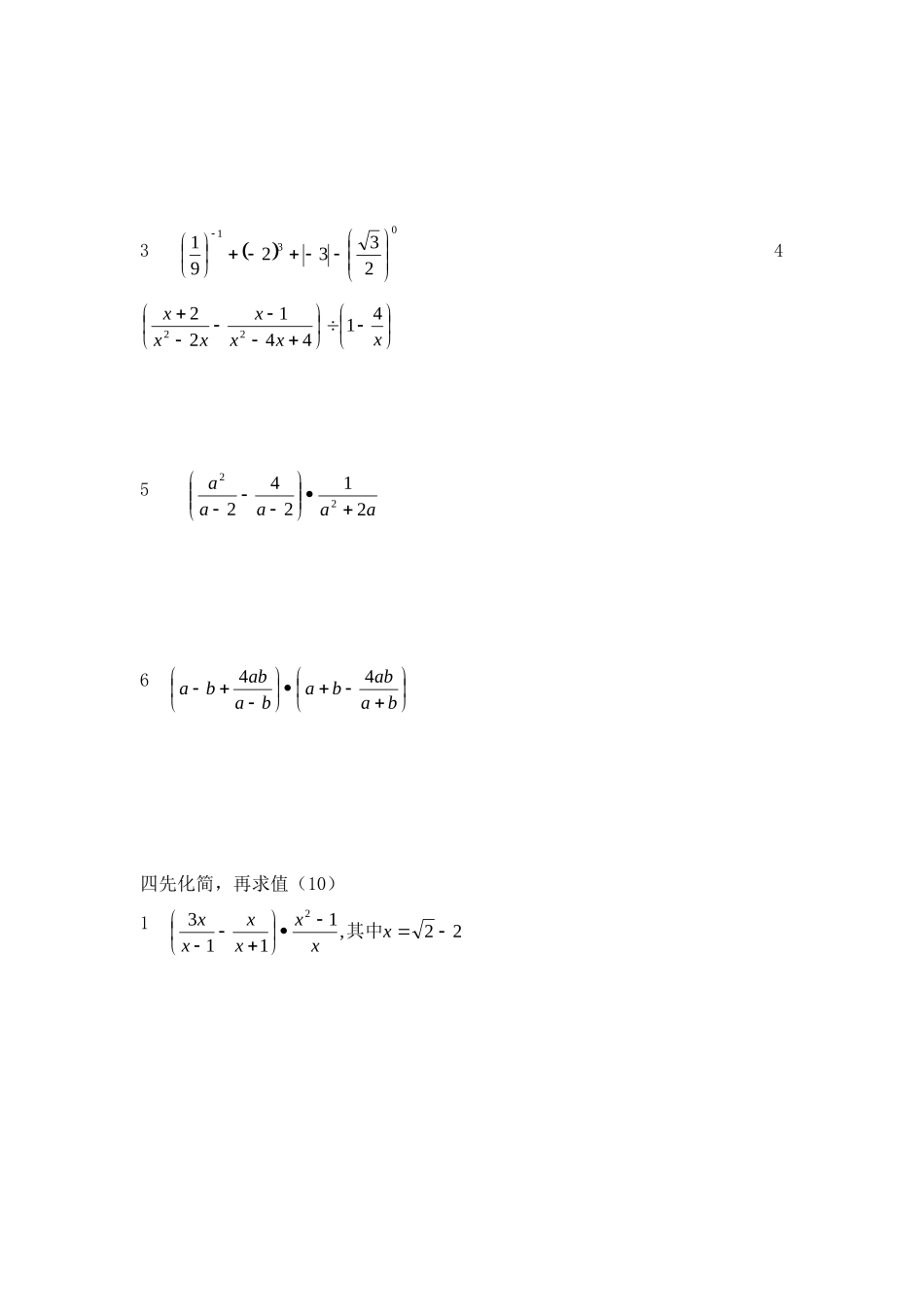
分式及其运算同步检测一填空(27)1若分式11xx的值为零,则x的值等于,若分式34922xxx值为零,则x=当x=时,分式无意义2函数y=11xx的自变量x的取值范围是,(x+x-1)-1=3322baabba2232xxxxy4已知x2-3x+1=0,则221xx,x-x1=5若babaaabbba232,211则已知x:y:z=3:4:6≠0,则zyxzyx=6432xyyxxy=322322yxzxy=7若代数式4321xxxx有意义,则x的取值范围是8分式121,221,112xxxx的最简公分母是9若1,31242xxxxx则分式的值是二选择(24)1计算aaaa11的结果是()A11aB1C11aD-12已知a、b为实数,且ab=1,设M=1111,11baNbbaa则M、N的关系是()AM>N,BM=NCM<ND不确定3一件工作,甲独做a小时完成,乙独做b小时完成,则甲、乙两人合作完成需要()A(ba11)小时Bab1小时cba1小时Dbaab小时4把分式xyyx中的x、y都扩大2倍,那么分式的值A扩大2倍B扩大4倍C缩小一半D不变5xxx31211等于()Ax21Bx23Cx611Dx656若a<0,则aaa=()A0B2C-2D17若分式xx312的值为正数,则x的取值范围是()A-2-28已知x为整数,918232322xxxx也为整数,则所有符合条件的x的值的和为()A12B15C18D209下列计算正确的是()A(-1)0=1B15.0210C(-1)-1=1D(-x)5÷(-x)3=-x210当x为全体实数时,下列分式一定有意义的是()AXX2B422xxC3122xxD23xx11下列计算正确的是()Abba1=aBa1babC22ababD–11112xxx12如果x>y>0,那么xyxy11的结果是()A零B正数C负数D整数三计算或化简(24)1bababab222235422xyyxyxxy30312332914xxxxxxx4144122225aaaaa21242226baabbabaabba44四先化简,再求值(10)122,11132xxxxxxx其中22,211121222xxxxxxx其中答案一1.-1,-3,3或1。2.x≥-1且x≠1,12xx。3.ab(a-b),3y.。4.7,5。5.-1,51。6.76434,yzxxy。7.x≠-2,x≠-3,x≠-4。8.2(x-1)2.。9.81。二.ABDCCCAAACDB三1.b.。2.,449yyxx。3.4。4.axx1.5.4412。6.a2-b2四1.2x+4,22.2..12,2xx五1.122.3.3,2.2.4,22aaaab

1、当您付费下载文档后,您只拥有了使用权限,并不意味着购买了版权,文档只能用于自身使用,不得用于其他商业用途(如 [转卖]进行直接盈利或[编辑后售卖]进行间接盈利)。
2、本站所有内容均由合作方或网友上传,本站不对文档的完整性、权威性及其观点立场正确性做任何保证或承诺!文档内容仅供研究参考,付费前请自行鉴别。
3、如文档内容存在违规,或者侵犯商业秘密、侵犯著作权等,请点击“违规举报”。

碎片内容

分式的运算同步练习及答案

您可能关注的文档

精品文档+ 关注
实名认证
内容提供者

中小学学习资料大全

相关文档

确认删除?
VIP
微信客服
  • 扫码咨询
会员Q群
  • 会员专属群点击这里加入QQ群
客服邮箱
回到顶部