电脑桌面
添加小米粒文库到电脑桌面
安装后可以在桌面快捷访问

高三数学(文)圆锥曲线综合练习 知识精讲 人教版VIP免费

高三数学(文)圆锥曲线综合练习 知识精讲 人教版_第1页
1/4
高三数学(文)圆锥曲线综合练习 知识精讲 人教版_第2页
2/4
高三数学(文)圆锥曲线综合练习 知识精讲 人教版_第3页
3/4
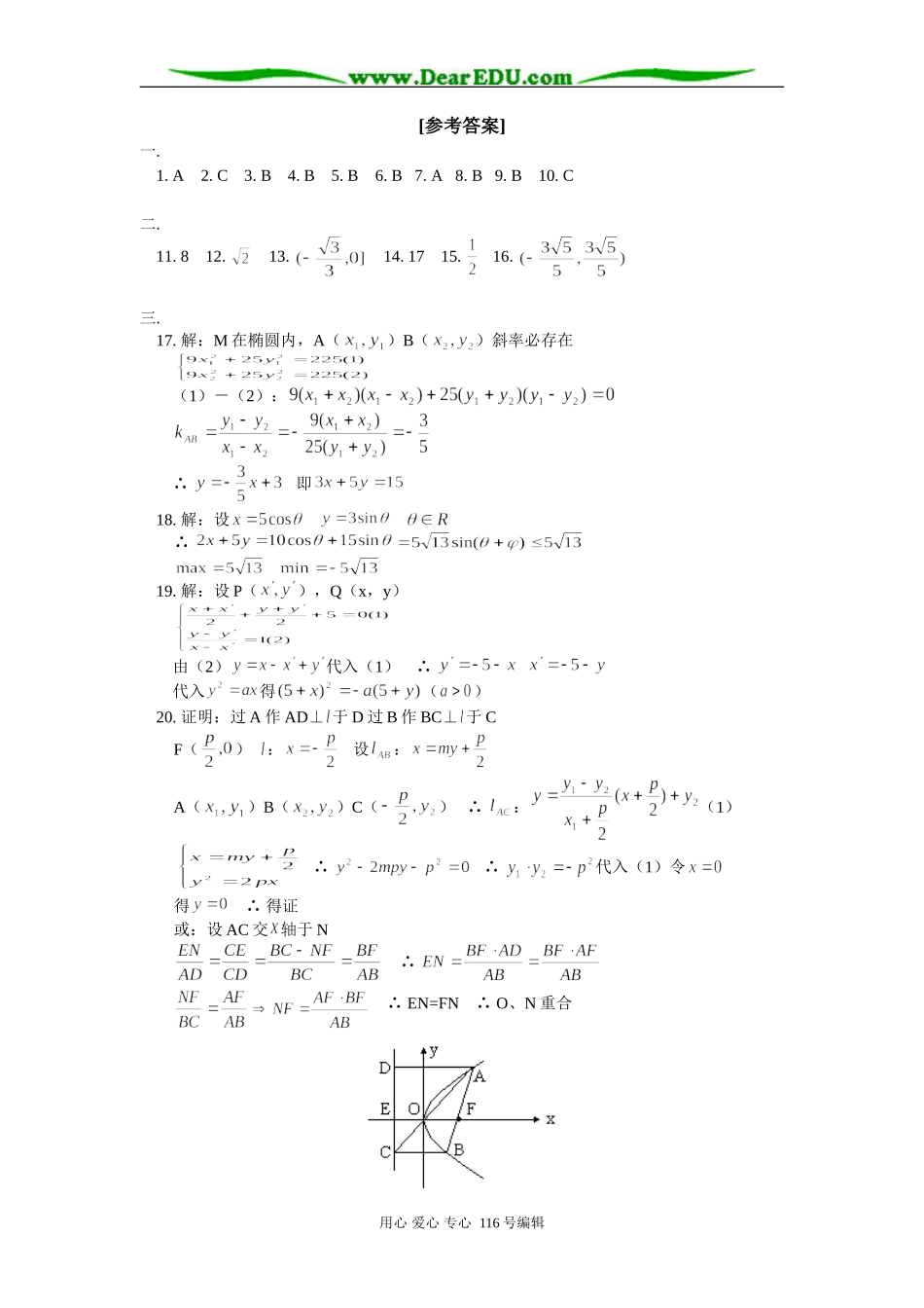
高三数学(文)圆锥曲线综合练习知识精讲人教版一.本周教学内容:圆锥曲线综合练习【模拟试题】(答题时间:90分钟)一.选择题(本题每小题5分,共50分)1.已知双曲线的两条准线的距离等于()A.B.C.D.2.方程表示焦点在轴上的椭圆,则的取值范围是()A.B.C.D.3.椭圆的两个焦点坐标是()A.B.C.D.4.已知椭圆长半轴与短半轴之比是,焦距是8,焦点在轴上,则此椭圆的标准方程是()A.B.C.D.5.椭圆的两条准线间的距离是()A.B.10C.15D.6.抛物线的焦点坐标为()A.(0,)B.(0,)C.(,0)D.(,0)7.设双曲线的半焦距为,直线过(,0),(0,)两点,已知原点到直线的距离为,则双曲线的离心率为()A.2B.C.D.8.若椭圆上有两点P、Q关于直线:对称,则PQ的中点M的坐标是()A.B.C.D.9.过抛物线上一点P(2,)与抛物线仅有一个公共点的直线有()A.1条B.2条C.3条D.1条或3条10.动点P到直线的距离比到定点M(2,0)的距离大2,则点P的轨迹是()A.直线B.圆C.抛物线D.双曲线二.填空题(本题每小题4分,共24分)用心爱心专心116号编辑11.过抛物线焦点作直线交抛物线于A(),B(),如果AB与轴成角,那么等于。12.双曲线的焦距等于双曲线的两条准线间距离的2倍,则双曲线的离心率是。13.方程有两解时,。14.双曲线上一点P到一个焦点的距离为1,则到另一个焦点的距离等于。15.椭圆两准线间的距离是焦距的4倍,则其离心率为。16.椭圆的焦点为、,点P为其上的动点。当为钝角时,点P横坐标的取值范围是。三.解答题(本题17—20小题每题12分,21、22小题14分,共76分)17.已知椭圆,求此椭圆被点M()所平分弦所在直线方程。18.已知椭圆上一点P(),求的最大值、最小值。19.P点在抛物线()上移动,点Q与P关于直线:对称,求点Q的轨迹方程。20.(2001全国理、文)设抛物线()的焦点为F,经过点F的直线交抛物线与A、B两点,点C在抛物线的准线上且BC//轴,求证直线AC经过原点O。21.椭圆E:,直线:,存在A、BE,且A、B关于直线对称,求的取值范围。22.已知、是过点P(,0)的两条互相垂直的直线,且、与双曲线=1各有两个交点,分别为A1、B1和A2、B2。(1)求的斜率的取值范围;(2)若A1恰是双曲线的一个顶点,求的值。用心爱心专心116号编辑[参考答案]一.1.A2.C3.B4.B5.B6.B7.A8.B9.B10.C二.11.812.13.14.1715.16.三.17.解:M在椭圆内,A()B()斜率必存在(1)-(2):∴即18.解:设∴19.解:设P(),Q(x,y)由(2)代入(1)∴代入得()20.证明:过A作AD⊥于D过B作BC⊥于CF():设:A()B()C()∴:(1)∴∴代入(1)令得∴得证或:设AC交轴于N∴∴EN=FN∴O、N重合用心爱心专心116号编辑21.解:设A()B()中点M()∴∴∵∴由M在椭圆内∴22.解:设::(1)①∴②∴(2)A1(0,1)由②∴用心爱心专心116号编辑

1、当您付费下载文档后,您只拥有了使用权限,并不意味着购买了版权,文档只能用于自身使用,不得用于其他商业用途(如 [转卖]进行直接盈利或[编辑后售卖]进行间接盈利)。
2、本站所有内容均由合作方或网友上传,本站不对文档的完整性、权威性及其观点立场正确性做任何保证或承诺!文档内容仅供研究参考,付费前请自行鉴别。
3、如文档内容存在违规,或者侵犯商业秘密、侵犯著作权等,请点击“违规举报”。

碎片内容

高三数学(文)圆锥曲线综合练习 知识精讲 人教版

您可能关注的文档

确认删除?
VIP
微信客服
  • 扫码咨询
会员Q群
  • 会员专属群点击这里加入QQ群
客服邮箱
回到顶部